למה צ'ט GPT צריך אותנו, איזה סוגים של שתיקות אני שונא, מה הקשר בין חולדים בגינה למסגריה של הקיבוץ ואיזה עוד דברים לא נורמליים היו לי בילדות? על כל אלה, על כל אלה נקרא בבלוג הזה שמוקדש באהבה לקבוצת חצב.
מה שקורה בקיבוץ נשאר בקיבוץ
גדלתי בקיבוץ אילון בסביבה מאוד מיוחדת ומעניינת. למעשה, לקח לי הרבה שנים להעריך עד כמה הילדות שלי הייתה מיוחדת במובן האמריקאי של המילה, כלומר לא-נורמלית לחלוטין, וכדי להסביר לכם אני אתן כמה דוגמאות לדברים שנראו לי הכי נורמליים בתור ילד והיום אני חושב שהם די קיצוניים. אני אתחיל במשהו קטן – תותח החולדים. מדובר באילתור קטן ושטני של המסגריה – חתיכת צינור מתכת מחובר לקפיץ שמטרתו לחסל חולדים
זו תמונה שמצאתי ברשת כשחיפשתי "תותח חולדים", אז אנחנו לא היינו היחידים! שלנו היה ירוק וקצת יותר יפה אבל נראה אותו העקרון.
כשהגיע חולד לגינה היינו פותחים לו את התלולית (כי אז הוא יבוא לסגור אותה בלילה) ותוקעים בתוך המחילה את הקנה ובפנים כדור ציד שהיינו משיגים מגדעון ודורכים את קפיץ אל מעל לפיקה של הכדור. בלילה היה מגיע החולד, דוחף את הקנה שהיה משחרר את הקפיץ שהיה נוקר את הכדור ושולח את החולד לעולם שכולו שורשים ופקעות. בחוץ היה נשמע בום אדיר (בד"כ באמצע הלילה) אבל זה התקבל כמשהו שבשגרה ע"י השכנים וגם, מסתבר, ע"י החולדים שהיו ממשיכים לפקוד את הגינה שלנו. בבוקר היינו, אבא ואני מפרקים את התותח ואוספים את העיסה שהיתה פעם חולד חוץ מפעם אחת שבה החולד הגיע מהצד והכדור בכלל לא פגע בו – הוא מת מההדף אז הוצאנו אותו שלם וזה נרשם כאירוע מגניב.
מה עוד… היה לי ולחברים אוסף תחמושת, חיה. היינו אוספים כדורים של רובים, מפרקים אותם ועושים פירוטכניקה עם אבק השריפה. היינו מדליקים את הקליעים הנותבים וידענו לשגר אותם גבוה לאוויר לקולות נפץ, שריקות ושפריצים של אש אדומה. היינו מפוצצים רימוני עשן מדי פעם שיהיה מעניין, והיינו תמיד הראשונים לבדוק את אתרי הנפילות של הקטיושות לראות מה נשאר ולאסוף רסיסים מגניבים. אהה, כן, קטיושות, ומקלטים, וכלבים ששומרים על כביש המערכת וזמזום הקולר שלהם כשהם רצים אחריך ומנסים לאכול אותך – אבל זה בקטנה.
זה נראה מהשהו כזה, אבל לנו היו גם של קלצ'ניקוב, קרבין, מאג, מק"ח 0.5 ואפילו 20ממ אחדאדום בקצה זה נותב, אם מפרקים את הקליע יש בצד השני פקק כסף שמתחתיו יש אבקה לבנה שדולקת באדום חבל על הזמן!זו סתם תמונה טובה מהטיול השנתי, אוסף של חברים עם נשק שזה דומה לאוסף נשק של חברים
טוב, זו רק ההתחלה… היה לנו חדר נחשים, יותר כמו מחסן שלם מלא בנחשים שאספנו בסביבות הקיבוץ וגידלנו. כדי למצוא את הנחשים הייתי מסתובב מחוץ לקיבוץ שעות, כמעט כל אחר הצהריים בקיץ, בלא שאיש יודע איפה אני, לאן הלכתי או מתי אני חוזר. גידלנו גם את העכברים שהזינו את הנחשים וגם מדי פעם בז או שניים שנפלו מהקן וכדי להאכיל אותם היינו טומנים מלכודות ליונים שבמגדלי השמירה הריקים. את הנחשים מאוד אהבנו אבל היתה מעט מאוד אמפתיה לשאר בעלי החיים בשרשרת המזון.
זה קוצן, לא עכבר. הוא היה אמור להיות אוכל לנחש אבל בזמן שהוא חיכה שהנחש יהיה רעב הוא התרבה עם קוצנית אחרת אז הם הפכו לגידול בזכות עצמם וניצלו.זה קמטן, לא נחש, הוא גם לא נושך אבל די מסריחגם הנחש כנראה לא מרוצה מהמצבהצב של אורן
אגב שרשרת מזון, כשרצינו לעשות על-האש היינו הולכים ללול של הקיבוץ ובוחרים לנו תרנגולות. את התרנגולות המסכנות היינו שוחטים ומנקים ואז מביאים את הבשר לכיתה. זה לא נתפס כאכזרי או לא אכזרי, זה פשוט מה שעושים כשרוצים לעשות על-האש כיתתי.
כשאני והתרנגולות עוד היינו חברים
וכמובן, הלינה המשותפת והמוסד החינוכי, ופורים קטן ופורים גדול ותיקון חצות ועץ האופניים, סביבונים בחנוכה, ריקוד מיכלזונים, גיוסים בכותנה, יום עבודה בשבוע וכיתת ארזים ואולי גם רימון. מהלינה המשותפת יש לי בעיקר זכרונות טובים אבל היתה פעם אחת כשהייתי אולי בן 5 והייתי חולה והיה חורף וקר ויצאתי מהמיטה והלכתי יחף על הרצפה הקפואה ועמדתי מול הקופסה על קיר שאמורה להיות מחוברת באיזה קסם לשומרת הלילה וקראתי "שומרת לילה, בואי לחצב, שומרת לילה בואי לחצב" במין מנגינה ששמורה לילדים קטנים ושומרות לילה, ככה אולי שעה ואף אחד לא בא ואז הקאתי והייתי מותש וחזרתי לישון. על אריחי הסומסום נשאר כתם חלבי מהקיא שניקו הגננות רק בבוקר. והשבוע הכי כייף כשאמא שלי היתה שומרת הלילה ואז היה סיכוי שתבוא גם אלי בלילה אם אני ארגיש לא טוב ואם לא יצטרכו אותה מישהו מהגנים היותר קטנים.
האם עוד 40 שנה הילדים שלי יסתכלו על הילדות שלהם איתי ועם עדי בטבעון ויגידו דברים דומים על כמה הילדות שלהם היתה מיוחדת ומוזרה? היום המחשבה של הילדים שלי משחקים עם תחמושת עושה לי צמרמורת, נחשים אסור לאסוף כי הם מוגנים ובלילה אני קם לילדים – טוב, כמה פעמים שצריך.
יום הולדת 5 בגןאני האיש-עם היחיד שלא היה סביבון והיה רק עונה (פחות-מ-סביבון) גן גומא!ביכוריםגיל 6 ותיאור די מדוייק גם בגיל 46
צ'ט GPT
למה צ'ט GPT צריך אותנו יותר ממה שאנחנו צריכים אותו? אני מניח שכל מי שקורא את זה כבר לפחות שמע, אם לא התנסה בפלא הטכנולוגי שנקרא Chat GPT. אם עדיין לא ניסיתם, זה כבר לא בגדר המלצה, זו הטכנולוגיה שמשנה, ממש עכשיו, את איך שהעולם כותב, מתקשר וחושב. כנסו ללינק, פתחו חשבון ותכירו את הכלי הזה. במקום לכתוב קוד, מתכנתים מבקשים מהצ'ט שיכתוב להם, חוקרים מבקשים מהצ'ט שיסכם להם ושולחים לפרסום, אנשים כותבים ככה מיילים, בקשות לרשויות, כותבים מצגות, סיפורים, שירים, הצגות, סרטים, בונים ראיונות ומנתחים עבודות.
מה, שלושה עמודים על הפוסט-מודרניזם בכתבי בורוכוב? Coming right up
אבל יש בעיה – הצ'ט הפלאי לומד מקריאה של חומר שאנחנו, בני האדם שמים ברשת. ככה הוא לומד לקודד, לומד היסטוריה ופילוסופיה, לומד לנסח ואפילו להתבדח (כן, יש לו הבנה לא רעה של מה מצחיק ומה לא). עכשיו קחו לדוגמא אוניברסיטה שבה משתמשים בצ'ט לכתוב את הקורס הבא. יבואו הסטודנטים בקורס וישתמשו בצ'ט ע"מ לנסח את התשובות לשאלות שהצ'ט עצמו חיבר ואז הבודקים בקורס ישתמשו בצ'ט לכתוב את ההערות לתשובות לשאלות, שהצ'ט חיבר וגם ענה עליהן. וככה, די מהר, החומר שימלא את הרשת, ממרומי המאמרים לביצת הטוקבקים, יכתב ע"י צ'טים כאלו, בתגובה לצ'טים אחרים. אפשר להגיד שזו אפוקליפסה, שהמכונות משתלטות על העולם, אבל אני לא רואה את זה ככה. הצ'טים האלו הם כלים מעולים! אם משתמשים בהם נכון, הם מייעלים את החיים ונותנים לנו לעשות את אותה העבודה בהרבה פחות זמן (גם עם הרבה פחות אנשים, אבל זה נושא לבלוג אחר).
הצ'ט יכול להמציא טקסט חדש שמעולם לא נכתב, אבל הוא לא יכול להמציא היפותזה חדשה, למצוא הקשר מקורי או לפתור בעיות שלא נפתרו. ע"מ שהדורות הבאים של הצ'ט-בוטים יהיו יותר טובים, הם צריכים ללמוד ואם אנחנו, בני האנוש, לא נייצר חומר מקורי אז הם רק יטחנו חומר ממוחזר מצ'טים ישנים. זה מזכיר לי את מערכת החינוך של האמיש (אלו עם הזקנים והכרכרות מארצות הברית), שם בוגרי כיתה ח' מסיימים את הלימודים ומלמדים את כיתות א'-ז'. זה לא מוציא אנשים מאוד משכילים.
ולכן, למען עתיד ילדכם – כתבו מדי פעם בעצמכם את הטקסטים! תעיזו, תטעו, תמציאו או תמחזרו ומדי פעם אתם תהיו מקוריים ותעלו רעיונות שמעולם לא הועלו או תפציצו באיזו מטאפורה מפוארת ובאותו הרגע אתם תהיו אחראיים לקידום רמת הטקסט של המין האנושי והרובוטי כולו! אז בבקשה, תהיו בני אדם ותמכו בצ'ט-בוטים של העתיד. (אני רוצה קופי-רייט על הסיסמה הזו)
הטיול בסיציליה
בנובמבר קרה משהו שלא קרה ב11 השנים האחרונות –ארזתי ציוד ונסעתי לשבועיים טיפוס (!!) בסיציליה. שבועיים טיפוס בחו"ל דורשים שילוב עדין של כושר טוב, פרטנר מנוסה, ילדים מספיק גדולים ואישה אחת אלופה. הפעם האחרונה שזה התאפשר היה לפני שהילדים נולדו.
מונטה מונקו, מצוקי מרשימים על הים עם מסלולים קשוחיםסאן וויטו לו קאפו, רוב הטיפוס הוא על מצוקים לאורך חוף הים
סיציליה יפיפיה והפיצה בהחלט טעימה אבל שני דברים הפתיעו אותי: סיציליה, בגדול, נטושה. ממש ככה, אי שלם שהמרכז שלו ריק מאדם ושאר האיזורים מאוכלסים חפיף-דליל.
המפרץ של פלרמוהנוף מפסגת אחד ההרים אחרי סיום מסלולכל הכבישים מורמים על קלונסאות וכל הזמן יש פלאק-פלאק-פלאק עם הגלגלים של האוטו על חיבור המקטעים של הכביש המורם. זה די מעצבןזה לא היה עובר את וועדת תכנון ובניה של טבעון, כנראה שהבירוקרטיה כאן יותר ידידותית או פשוט לא קיימתעצי זיתים מוכים ובודדים, ממש סוריאליסטי
סיציליה, בגדול, מטונפת. אבל ממש מלוכלכת עם זבל ושקיות זבל זרוקות בכל מקום, בעיקר חביב על המקומיים לזרוק את שקיות הזבל שלהם מהאוטו במחלפים. אמרו לי שזו תגובה סיציליאנית קלאסית לתקנות התברואה המחמירות של האיחוד האירופי: רוצים 5 סוגים של פחים בצבעים שונים והפרדה של הזבל האורגאני הירוק מהזבל הירוק הלא אורגאני? אין בעיה, אנחנו נזרוק את שקיות האשפה בכביש.
בסיציליה טיפסתי עם מיכה יניב, שיש לו יותר נסיון טיפוס ממה שלי יש נסיון בלאכול ארוחות בוקר (ואני די מקפיד) וביחד טיפסנו שם כמה מסלולים ממש יפים וארוכים
בסוף היום אחרי שירדנו מהפסגהככה זה נראה בתחילת היום, כל המצוק עוד לפנינוטיפוס זה פשוט הספורט הכי פוטוגני שיש, אובייקטיבית
בשאר הזמן עשינו קניות בסופרים ונהנינו מהפרודוקטים המקומיים ומיכולות הבישול של מיכה. אני שטפתי כלים.
איזה אלופים, ככה נראה דוכן דגים בסופר נידח בעיירה נידחת בסיציליה.צריך לבחור בקבוק לפתיחת הארוחה, בקבוק לארוחה ואחד לאחרי הארוחה. שתינו מלא 🙂Spam spam spam spam spam spam spam
עוד דבר אחד על סיציליאנים – הם נוהגים כמו מטורפים ולנהוג שם היה סיוט (בעיקר בפלארמו), ואם זה לא מספיק, אז כשהחזרתי את הרכב השכור קיבלתי קנס של 150 יורו בגלל שהיה קצת (באמת קצת) בוץ על הכסאות. 150 יורו!! כי מה, הם צובעים מחדש את המכונית ומכניסים אותה לניקוי יבש?? חמש דקות עם מטלית לחה, באמת.. ביזה לאור יום.
הבית של אשר? לא נראה לי בטיחותיאני מחוייב על פי חוק לצרף תמונה של פיצה לבלוג על סיציליה
עדי
סוף סוף אחרי שהקימה מעבדה וגייסה סטודנטים ורקחה חומרים ולימדה שיעורים ופרסמה מאמרים, עדי קיבלה קביעות בטכניון! הידד!! המעבדה של עדי עוסקת בפיתוח כלים לטיהור מים וקרקעות, ועכשיו מתעסקת בבעיה של קיבוע פחמן דו-חמצני מהאטמוספירה. לעדי כבר יש כמה רעיונות איך להציל את האנושות וכל מה שנצטרך זה קצת חול, אצות ונייר טואלט. בחיי, ואפילו בלי הנייר טואלט. כרגע זה רק על הנייר (טואלט), אבל אנחנו מצפים לפריצת דרך בקרוב – עדי, גורל האנושות על כתפייך, אבל בלי לחץ.
עדי אוהבת ערים אירופיאיותאבל הכי הכי עדי אוהבת לישון
לרגל קבלת הקביעות עדי קיבלה מתנה מהסטודנטיות שלה – סדנת כדרות זוגית. כשאני שמעתי על זה אני מאוד שמחתי וחשבתי שסדנת כדרות זוגית זה רעיון מעולה! ככה אני דמיינתי את הסדנה:
אני לא פטריק ועדי לא דמי אבל אתם מבינים את הרעיון
כשסיפרתי לעדי על הסדנה היא גם שמחה ודימיינה משהו בסגנון הזה
איזה כייף, נעשה מלא כדים זהים ונשים בתוכם עציצים קטנים
בסוף הגענו לסדנה קטנה וחמודה בחיפה ושם עבדנו על אובניים למשך שעתיים ושכחנו מהחיים האמיתיים. זה מה שיצא
בשאר הזמן, כשהיא לא מלמדת או חוקרת או רוקדת או מפגינה אז לפעמים עדי גם מבלה קצת זמן איכות איתי
ילדים
הילדים גדלים מהר אבל עדיין ממש חמודים.
שוב קורנפלקס…
הנה למשל שיחה בין הבנים לעדי: [דקל] אמא, כשאני אגדל אני רוצה להיות כוריאוגרף! [עדי, שמאוד אוהבת בלט] יואו, דקלי, זה מקסים! איזה ריקוד אתה הכי אוהב? מה היית רוצה לביים? [דקל] רגע, מה? ריקודים? [אילון] דקל – אתה מתכוון למישהו שמתכנן מפות? זה כרטוגרף [דקל] אהה, כן, כרטוגרף. [עדי] אהה, הבנתי (למה, למה אין לי בנות? למה?)
יצאנו לטייל כל המשפחה בואדי ראם. ב15 השנים האחרונות הגעתי לשם הרבה פעמים לטפס על המצוקים האדירים, אבל הפעם רציתי לחלוק עם המשפחה את המקום המדהים הזה. באחד הימים דקל רצה לטפס לבד על אחת הדיונות הגדולות בלילה. אנחנו לא הסכמנו. דקל מאוד כעס ובסוף אני טיפסתי איתו על הדיונה בלילה וניסיתי לפייס אותו בדרך למטה. אמרתי לו שאני מאוד אוהב אותו וזה נשמע בערך ככה:
[אבא] דקלי אני מאוד אוהב אותך וחשוב לי שתהיה מרוצה [דקל] אבא די עם הרומנטיקה, נו כבר! וגם תפסיק להיות כ"כ חיובי כל הזמן.
דקל מתרכז בלא להיות רומנטיהרוח והעשב חורצים את החול עיגולים עיגולים כמו מבטיחים פיסת אלוהים קטנה לכל דבר שמצליח לשרוד כאןשלום. אני נוסעת.אחד המקומות היפים והמופלאים שיש
Pause For Effect
בזמן האחרון שמתי לב שיש אנשים שנוטים לשתוק בין משפטים. לפעמים זה מתאים ולפעמים זה מעצבן ואחרי עוד קצת מחשבה החלטתי לקטלג אותם לסוגים. אז הנה:
הפילוסופים
אלו אנשים שמתבלים את דבריהם בכל מיני תחכומים ונותנים רווח למחשבה אחרי המשפט כדי שלשאר בני התמותה יהיה זמן להפנים את אוצרות החוכמה.
"בטיול האחרון שלנו ללונדון שטנו בנהר על רפסודה, ממש כמו בספרים של סמואל קלמנס [שתיקה ארוכה, שמת לב שאמרתי משהו ממש חכם??]" כן, אני מכיר את פרט הטריוויה הזה, אפשר להמשיך.
האוראטורים
אלו אנשים שמטיפים מפודיום, גם אם הם עומדים ממש מולך וזה רק שניכם בחדר. דבריהם מהדהדים בפאתוס הרואי והם עוצרים לעיתים באמצע המשפט כדי ליצור את האפקט המקסימאלי.
"אתה יודע מה הבעיה עם האנושות?! [שתיקה ארוכה] שיש יותר מדי אנשים."
בשביל זה חיכיתי את כל השתיקה הזו?
Name Dropping
אנשים שמפזרים פרטים מרשימים כאילו בלי לשים לב, אבל דואגים לשתוק מספיק כדי שאתה כן תשים לב
"ואז אמרתי לו יאיר, אח שלי, כי לפיד אצלינו כמו משפחה… [שתיקה, הבנת? יאיר לפיד?] מה דעתך על מה שקורה עכשיו במדינה??"
אם לפחות זה היה מישהו באמת מפורסם…
השולפים מהמותן
אלו אנשים שברפלקס פבלובי מגיבים על כל דבר שנאמר, לא משנה הנושא או ההקשר. מכיוון שלפעמים הנושא תופס אותם לא מוכנים, התגובה מתחילה לפני שהיה להם זמן לחשוב על מה הם הולכים להגיד וצריכים קצת זמן לחשוב על תגובה.
"לגבי הזמנות רכש בספרד של המאה ה17 , אז… [שתיקה ארוכה, רגע, למה בכלל אני מגיב לזה, את מי זה מעניין?] האם חשבת שאולי בכלל לא היה צריך הזמנות רכש אז?"
זה לא יוצר שיחות מעניינות אבל זה כלי פסיכואנליטי יוצא מהכלל!
סיום
החורף עבר וגם האביב כבר מסתיים וצפוי קיץ ארוך וחם. כמו תמיד אנחנו בטבעון ונשמח מאוד למי שרוצה לעבור דרכינו, אין משהו שנותן לנו יותר נחת מלהכין כוס קפה למי שבא לבקר ומוכן לעמוד בקקפוניה של הילדים שמתחראים על פסנתר, גיטרה, חלילית וחליל וכל זה בו זמנית ולמרות שיש לנו רק שלושה ילדים.
אני אסיים במשפט סיני עתיק שאני די בטוח שאני המצאתי – "החיים הם כמו משחק שבץ-נא – מילה טובה במקום הנכון תזכה אותך בהרבה נקודות" — אורן
מה הקשר בין פיל וחדף לחתולים ועננים? למה משאיות משמיעות קולות מוזרים בירידה ולמה נתגעגע לאנשים שיכורים בשלושה מימדים? אז מסתבר שכולם קשורים להבדל בין המספר 2 למספר 3. רוצים לדעת עוד? קדימה – לעסק.
בואו נתחיל עם פיל. הפיל גדול וכבד, אוהב אמבטיות בוץ (מי לא?) ויש לו דם חם. לא, הוא לא מתעצבן כשנדחפים לו לחניה (למרות שלא הייתי מנסה), דם חם אומר שהוא (כמונו) יודע לייצר חום בתוך הגוף שלו כדי לשמור על טפ' גוף קבועה. זה בניגוד לזוחלים למשל, שטפ' הגוף שלהם נקבעת על פי הסביבה: כשיש שמש הם מתחרדנים, מתחממים, אוכלים ועושים חיים, (עד כמה שזוחלים מסוגלים) וכשקר הם נכנסים מתחת לאבן ומחכים שיתחמם.
זוגות כאלו לא היינו רואים ברחוב לפני 50 שנה
היתרון בדם חם הוא שאפשר לפתח חילוף חומרים שמותאם בדיוק לטפ' הגוף ומאוד יעיל ואפשר לתחזק מוח גדול ומפונק שדורש תנאים קבועים. עם המוח אפשר להמציא שפה, טכנולוגיה וקפוצ'ינו על גדות נהר באיטליה. כשאין קורונה כמובן.
קפה פיל-טר. יש היום טכנולוגיה להדפיס על הקצף של הקפה, בדקו drinkripples.com
אז הפיל כל הזמן מייצר חום ואת זה הוא עושה בכל נפח הגוף שלו – בכל תא שעושה חילוף חומרים, בפעולה של השרירים ואפילו הדם שמתחכך תוך כדי זרימה. מצד שני, החום יכול לברוח מהגוף רק בחלק שנוגע באוויר, כלומר העור, כלומר שטח הפנים שלו. אבל שטח של גופים גדל ביחס לחזקה השנייה של האורך/רוחב שלהם. ונפח של גופים גדל ביחס לחזקה השלישית ולכן ככל שהגוף גדול יותר כך היחס בין שטח הפנים לנפח קטן (פחות שטח ביחס לנפח) וככל שהגוף יותר קטן, כך היחס גדל.
אם נזכר בפיל נבין שיש לו הרבה נפח לייצר חום ומעט שטח פנים לאבד אותו. לפילים יש אזניים גדולות (עוד שטח פנים, מעט נפח) שעוזרות לו לווסת את חום הגוף אבל אי אפשר לתחזק חיה עם דם חם גדולה בהרבה מפיל – היא פשוט תמות מחום. אם רוצים למצוא חיות באמת גדולות עם דם חם צריך לחפש במקום שבו ניתן להיפתר ביעילות מעודפי החום, למשל, במים (כי מים מוליכים חום יותר טוב מאוויר). ושם נמצא את הלוויתן.
מצד שני, אם אתה ממש קטן אתה סובל מבעיה הפוכה – יותר מדי שטח פנים ומעט מדי נפח. הכירו בבקשה את החדף: היונק הקטן ביותר.
יש לו קרוב משפחה שקוראים לו חדף הפיל כנראה בגלל האף הגדול. חחחח חדף הפיל….זה מצחיק
החדף כ"כ קטן ומאבד חום כל כך מהר שהוא בקושי מצליח לחמם את עצמו. הוא מסתובב בעולם ואוכל כל הזמן – פי שניים ממשקלו כל יום ע"מ לחמם את עצמו וזה מאוד לא יעיל! (יש יונקים יותר גרועים, למשל האסון האבולוציוני האהוב ביותר – הפנדה). היחס בין שטח פנים לנפח קובע שעל היבשה, בגדול, לא נמצא יונק יותר קטן מחדף (באיזורים קרירים) או יותר גדול מפיל (באיזורים חמים). אפשר להיות מאוד גדול אם ממש קר בחוץ, למשל הקרנף הענק הזה. הדינוזאורים היו יותר גדולים וזה כנראה אומר שלא היה להם ייצור חום פנימי כמו ליונקים. למעשה, היום חושבים שעצם הגודל שלהם אפשר להם לשמור על חום גוף לאורך זמן, גם אם לא ייצרו אותו פנימית.
אם זה מנחם אותך, גם הבנקים הגדולים נכחדו בהכחדת הבנקים הגדולה של 2008
למכוניות שמנסות לבלום בירידה יש בעיה דומה. בלמים של מכוניות הן דיסקה דו-ממדית שנצמדת לגלגל, לוחצת אותו ומתחממת. היכולת של הדיסקה לפזר את החום תלוי בשטח שלה. לעומת זאת כשמכונית בירידה, כוח המשיכה עליה תלוי במשקלה, כלומר בנפח שלה.
דיסק בלימה של רכב. אם זה מה שאתם רואים בבוקר אז מישהו גנב לכם את הגלגלים
אם אוטו גדל פי 2 (פי 2 ארוך, פי 2 גבוה, פי 2 רחב) הנפח והמשקל יגדלו פי 8 (וכך גם הכוח שגורר אותו למטה במדרון) ושטחה של הדיסקה יגדל רק פי 4 בערך (וכך גם כמות החום שהיא מסוגלת לאבד). ולכן ככל שהאוטו גדל, יש פחות שטח דיסקה ביחס למשקל שצריך לבלום, נוצר יותר ויותר חום ומתישהו הבלם יישרף. בעיה. לכן, מעל גודל מסוים כבר לא בטיחותי לבלום מכונית (כבר בעצם משאית) רק עם בלמי דיסק וצריך משהו אחר – בלם אגזוז או בלם מנוע. בלם האגזוז מונע מגזי הפלטה לצאת וכך מונע מהמנוע לדחוף עוד גזים החוצה ומאט את פעולתו. בלם מנוע מסב את המנוע למין מדחס אוויר וכך מאט אותו. מכיוון שהמנוע מחובר לגלגלים זה עוזר לעצור את המשאית ולפעמים משמיע קול מאוד מעצבן וחזק, קצת כמו לצחצח שיניים עם מקדחה על מצב פטישון. אם זה מעניין אתכם, ואני ממש מקווה שזה לא, יש אתרים עם טיפים על איך לגרום לרכב לעשות יותר רעש.
הידעת? האמריקאים הם העם המשועמם ביותר בעולם
ומה הקטע עם עננים? כלומר, איך זה שהם שטים בשמיים? הרי הענן עשוי מטיפות מים וכולנו יודעים שאם משפריצים מים מצינור הם נופלים לרצפה. אז למה עננים לא נופלים לרצפה? ולמה כשאנשים קופצים ממטוס הם כן נופלים לרצפה? ואיך זה שחתולים יכולים לשרוד נפילה כמעט מכל גובה?
גם כאן יש משחק של נפח מול שטח פנים. כשאתה זורק משהו ממטוס הנפילה שלו תלויה בשני דברים – כוח המשיכה והתנגדות האוויר לתנועה. כוח המשיכה תלוי בנפח הגוף והתנגדות האוויר תלויה בשטח הפנים וגם במהירות: ההתנגדות גדלה כששטח הפנים גדל וגדלה גם כשמהירות התנועה גדלה. לבן אדם שנופל, כוח המשיכה וחיכוך האוויר מתאזנים בערך במהירות של 200 קמ"ש. אדם לא מסוגל לשרוד התנגשות ב200 קמ"ש אלא אם זה ברשת מיוחדת או שלג ממש ממש עמוק או הר צמר גפן (זה כנראה אף פעם לא קרה, אבל איזה כייף זה היה יכול להיות!). חתולים יודעים לשטח את הגוף שלהם בנפילה מה שמאט אותם למהירות סופית של בערך 100 קמ"ש. זו מהירות שתרסק אדם, אבל חתולים, אלופי הגמישות ואקרובטיקה מסוגלים לפעמים לשרוד אותה. אגב, התנגדות אוויר שעולה עם המהירות זו הסיבה שמטוסי נוסעים הולכים ומאיטים עם הזמן – כדי לחסוך בדלק והוצאות.
ולגבי עננים – הם עשויים מטיפות מים, אבל טיפות ממש ממש קטנות, פי מאה יותר קטנות מטיפות גשם.
זו בדיוק התמונה שמשתמשים להראות את היחס בין השמש לכדור הארץ, רק שיניתי את הצבעים
הן כ"כ קטנות שכוח המשיכה (שתלוי בנפח) זניח לעומת הכוחות מהתנגשות בחלקיקי אוויר (על פני השטח). לכן, כיוון שחלקיקי אוויר נעים במרחב כל הזמן (מה שנקרא תנועה בראונית, שתוארה ע"י רוברט בראון שהסתכל על גרגירי אבקה והוסברה ע"י איינשטיין כשהיה בן 26, מה אתם הספקתם לעשות עד גיל 26, לטייל בדרום אמריקה? לא כ"כ מרשים.) הם מתנגשים בטיפות והן למעשה לא "מרגישות" בכלל את כוח המשיכה ופשוט צפות בים האטמוספרי.
איינשטיין תפסיק להשוויץ
עוד משהו נחמד שקורה בין שני ממדים (שטח) לשלושה מימדים (נפח) הוא הילוך השיכור. הילוך שיכור הוא מין משחק מתמטי שבו אנחנו שמים יצור (השיכור) בראשית הצירים ובכל שניה הוא יכול ללכת בצורה אקראית לכל כוון. אפשר לחשוב על יצור על קו ישר שמתחיל ב 0 ובשנייה הראשונה יכול לקפוץ ל 1 או ל 1-. אם הוא קפץ ל 1 אז בשנייה השנייה הוא יכול ללכת ל-0 או ל 2. וכן הלאה. בשני ממדים זה קצת יותר מעניין, היצור שלנו מתחיל ב (0,0) ובשנייה הראשונה יכול לקפוץ ל (0,1), (1,0), (0, 1-) או (1-, 0).
הילוך שיכור במימד אחד
הילוך של הרבה יותר ממאה צעדים. שימו לב שעדיין לא ביקר שוב בראשית, אבל הוא יגיע לשם. בסופו של דבר
הילוך שיכור בשני ממדים של כ-100 צעדים שהתחיל בראשית
מעניין לשאול – אם ניתן לשיכור ללכת ככה אין-סוף מהלכים, מה הסבירות שהוא יבקר חזרה בראשית שממנה יצא? מסתבר שבשני ממדים הוא בוודאות יבקר חזרה בראשית וזה למרות שההילוך שלו לא חסום, כלומר אנחנו גם מצפים שהוא ירחיק ויגיע לכל נקודה שהיא אבל גם מתישהו יחזור הביתה לספר על זה לחברה.
אבל בשלושה ממדים זה כבר לא ככה. השיכור מסתובב במרחב ורק בסיכוי של בערך שליש יחזור לבקר בראשית. על זה אמרו שאיש שיכור כנראה ימצא בסוף את הדרך הביתה אבל ציפור שיכורה כנראה תאבד את הקן לנצח.
שלושה הילוכים שונים בשלושה מימדים ושלוש ציפורים אבודות. האם תוכלו לעזור לציפורים למצוא את הקן שלהן?
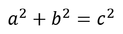
גם המשפט האחרון של פרמה מפתיע כי הוא צופה שינוי משמעותי בהתנהגות של מספרים בין חזקה שניה לשלישית. בחזקה שניה יש אין סוף דוגמאות לשלושה מספרים שלמים שמקיימים
למשל
וכל שלושה מספרים כאלו נקראים שלשה פיתגוראית כי הם גם מתארים שלוש צלעות של משולש ישר זווית (שמקיים את משפט פיתגורס).
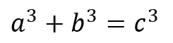
פרמה טען שאין אפילו דוגמא אחת לשלושה מספרים שלמים חיוביים כאלו עבור
או לכל חזקה גדולה מ-2. וזה באמת די מפתיע – אין סוף דוגמאות עבור 2 ואפילו לא אחת עבור 3? אז מסתבר שזה אכן כך וההבדל הקטן בין חזקה שניה לשלישית שיגע מתמטיקאים במשך 350 שנה.
אז זהו – וכדאי לציין שגם עם ילדים המעבר בין שניים לשלושה הוא משמעותי, אבל עוד אין הוכחה מתמטית לכך, בנתיים זה בגדר אינטואיציה :).
לפני כמה שבועות, עוד לפני הסגר, הסתובבתי בחופי תל אביב ולהפתעתי ראיתי שלט שמזהיר מצונאמי:
זה, כאילו, דגל שחור?
ואכן מתברר שלחופי ישראל הותקנה מערכת לגילוי והתראה מצונאמי, כולל מכמי"ם וכמובן – השלטים. צונאמי? בישראל?? אני כידוע מחבב מאוד אסונות טבע ולא זכור לי שיש כזו סכנה. אז החלטתי לחקור.
הנה מפה עם רעידות אדמה ב3000 השנים האחרונות שגרמו לצונאמי בים התיכון. אפשר לראות אולי נקודה לבנה אחת בצפון חופי ישראל ובטח לא משהו באיזור תל אביב. האיזורים הבעייתיים הם בחופי תורכיה, יוון ואיטליה.
זו גם מפה לא רעה לתיאור מוקדי עניין באיליאדה והאודיסאה
כאן תוכלו למצוא רשימה מדוקדקת של אירועי צונאמי באיזורינו ושוב, ב2000 השנים האחרונות לא נראה שהיה אירוע צונאמי משמעותי בישראל. אם זה מנחם אתכם, מחקר חדש חושף שהיה צונאמי אחד רציני לפני 10,000 שנה. כנראה. אז מה הקטע? מי החליט שזה עניין דחוף ושחשוב להשקיע בו משאבים וזמן? אני בעד להיות מוכנים אבל לטעון שיש בישראל סכנה מצונאמי זו הגזמה פראית. אולי חשבו שככה נהיה כמו תאילנד ובעקבות הצונאמי יבואו גם עצי הקוקוס והמילקשייקים והתיירים? אם כך, אז הנה לכם שלט שלדעתי כדאי לשים בחופי הארץ. בניגוד לצונאמי, הוא מזהיר ממשהו שבאמת קרה, לפחות פעמיים באלף השנים האחרונות:
מה אפשר לעשות עם כבשה אורגנית? ממה יש להישמר אם אתה דוב בקנדה? מה גילינו לגבי הקפה בסיאטל ומה הגישה שלנו לחינוך מיני של ילדים? את כל אלה ועוד שטויות תוכלו לגלות בפוסט הבא שמוקדש לשנה שבילינו בארצות הברית. מקווה שתהנו.
Relocation
"אז למה חזרתם?" זה מה שכולם שואלים. היינו שנה ברילוקיישן לארצות הברית, גרנו ליד סיאטל. וחזרנו. היה שם טוב, קל, נעים. על ישראל עברה שנה קשה, אחרי שנה איומה, אחרי… ובכל זאת, אני אנסה להסביר בבלוג למה שם זה לא הבית. לפחות לא שלי.
אני עברתי לעבוד במיקרוסופט ארה"ב, עדי עבדה באוניברסיטה של וושינגטון ואת הילדים פיזרנו בבתי הספר הציבוריים הקרובים לביתנו. חששנו שהילדים יתקשו עם האנגלית אבל הם הסתדרו בקלות. הילדים של היום מוצפים באנגלית – ביו-טיוב, במיינקראפט, זרעי השפה נמצאים בתוכם, רדומים, מחכים להזדמנות לפרוץ. אחרי חצי שנה הם עברו לדבר ביניהם באנגלית. חששנו ממזג האוויר הסגרירי של סיאטל, יש לה שם של מקום אפור ולח וקר. אבל אחרי הקיץ הלוהט של הארץ נהנינו מהקיץ המתון של סיאטל, שמגיש ימי שמש צלולים ברוטב גשמי ברכה ששומרים על השרכים ביער ירוקים ועל שקיפות האוויר מעל האגם. החורף אפרורי וקריר, אבל במקום להתעצב שמחנו, כי כל גשם בעיירה שלנו ניבאה מטר פירורי פאודר באתר הסקי הקרוב (חמישים דקות נסיעה). היה אדיר: טיילנו בהרים וביערות ובמדבר, ראינו לוויתנים וכלבי ים, ביקרנו בהוואי, טיילנו בקנדה (עוד על זה בהמשך) ועשינו סקי. בעיקר בילינו המון זמן איכות עם דולב אחי ומשפחתו, שעברו לגור שם לפני תשע שנים והיו מורי נבוכים והמבוגרים האחראיים בסביבה. קצרה היריעה מלספר על הכל, אבל אספתי כמה מהקטעים הטובים. אבל קודם, כמה תמונות (לחצו לקרוא תיאור):
נחתנו בבית שרוהט עבורנו על ידי אחי דולב ואשתו יפעת. הם בחרו לנו את הבית, ריהטו אותו, מילאו אותו באוכל, מגבות, מצעים, קישוטים וכל מה שמשפחה צריכה. הגענו מהשדה מבולבלים ועייפים ומצאנו בית מוכן למגורים, כולל אינטרנט ופסנתר! הכול מתרומות. קסם.
הייתה רק בעייה אחת, המזרן שלנו היה שקוע ובלילה היית צולל אל תוך ביצה טובענית של ספוג וקפיצים. כך, כל בוקר הייתי שולח יד פנימה ושולף את עדי לצחצוח השיניים ועבודת המחקר שלה. החלטנו לקנות מזרן. נסענו לחנות קטנה ושכונתית, שבה המזרנים ידידותיים לסביבה. המוכרת הזמינה אותנו לבדוק את המזרנים שנחו על מיטות עץ גסות ונשאו ניחוח כפרי. המזרנים הכילו מרכיבים מעניינים: נשכבנו לבדוק האם אריגה של מחלפות יאק טיבטי משככת את כאבי הגב ואיך כסת מלאה בפונפוני ארנבי חופש מרגישה מתחת לראש. התלבטנו בין שני מזרנים, שניהם נוחים להפליא, ואחד יקר פי שניים מהשני. "למה כזה הבדל במחיר?" "טוב, זה ברור," המוכרת הסבירה, "תסתכלו על התווית – אחד ממולא בצמר כבשים אורגני והשני… לא." "צמר כבשים אורגני?" זה נראה לי מוזר. גידלתי כבשים בתור ילד ואני לא זוכר שריססנו אותם נגד משהו. "כמובן, רק צמר מכבשים שאכלו אוכל אורגני ייכנס אלי הביתה, אני לא אגיד לכם מה לבחור אבל, תחשבו… ועוד לשכב על זה." "באמת יש כזה הבדל?" אני קולט שעדי מסמנת בלכסון עיניים ועפעוף ריסים שאניח למוכרת. "אני מחזיקה את זה כי זה זול, ואנשים… אתם יודעים… אבל בינינו, לא הייתי… ועוד לשכב על זה." בסוף קנינו מזרן מקוסטקו – שליש מחיר ומגיע עד הבית. אני בטוח שאת מילוי הפלסטיק שלו עשו מנפט שנוצר מרקב צמחים אורגניים לחלוטין, ללא חשש טבל ושביעית.
קשה לי עם התרבות האמריקאית, למשל חוסר ההבנה של העולם שבו הם חיים. בהפגנה פרו-פלסטינית הם מתלבשים כמו חמאס ומחזיקים שלטים שקוראים לקידום זכויות הלהט"בים. באותה הפגנה פרו-פלסטינית תמצאו גם אנשים שקוראים להפסיק את שינויי האקלים ואפילו קוראים לחיסול הקולוניאליזם, וזה בעודם מדשדשים על אדמות גזל אינדיאניות. האמריקאים מבינים שהקרקע הייתה פעם של אחרים, שניצודו, הובסו, הוכחדו ושכיום חיים בשמורות קטנות ומתעסקים בעיקר בהימורים ושתייה מופרזת. כדי להשקיט את המצפון, נוהגים האמריקאים להציג שקופית שנקראת Land Acknowledgement בהתחלה של כל הרצאה או כנס. זה נראה משהו כזה:
זוהי שפת הTwulshootseed , הדובר האחרון של השפה מת ב2016 שאז גם מתה הבושה של מי שהכניס את השפה הזו למצגת
Unceded אומר שהם לא נתנו את האדמה. כלומר, האדמה נלקחה מהם בכוח. איזו דרך מכובסת ויפה לומר את זה
האינדיאנים לא מוזמנים להרצאות שבהם מציגים את השקופיות האלו ולאנשים שמציגים את השקופיות אין כל כוונה לתת ולו קמצוץ של האדמה חזרה לחֶבְרֶה עם הטיפי והטומהוק. זה צבוע וזה מעצבן וגם מטומטם כי שבט דואמיש אמנם היה שם כשהאדם הלבן הגיע אבל הוא גם בעיתו בזז את השטח משבט דואמיש* אחר שאת שמו לעולם לא נדע וגם השבט הזה חמד את הקרקע מאחרים וכן הלאה וכן הלאה. זוהי דרכו של עולם, כל אדם שיושב על פיסת אדמה, הרי הוא או אביו או סבו או סב-סבו לקחו את האדמה הזו בכוח או בעורמה ממישהו אחר. ככה זה, אין אדמה בחינם כבר עשרות אלפי שנים. אז החלטתי, בתור שירות לציבור לייצר שקופית Land Acknowledgement עבורינו כאן בארץ הקודש. קצת קשה להכניס את הכול לשקופית אחת אבל בכל זאת ניסיתי:
מוזמנים להתשמש בהרצאה הבאה שלכם. רק תבדקו שאין אף בבלי בקהל.
אפרופו זכויות להט"בים, באחד השיטוטים שלי בסיאטל נתקלתי בדגל הלהט"ב המפואר ביותר שיוצר עד כה:
כל צבעי החֶשֶק
מי שרוצה הסבר על הדגל מוזמן לבדוק כאן, אבל בגדול הדגל דוגל בהכלה ומכיל סממן לכל נטייה מינית או א-מינית הידועה לאדם בתוספת אזכור מיוחד לאנשים שחורים, חומים או סתם שחומים. וזה גרם לי לחשוב. למה שאני לא אעצב גם דגל. דגל שייצג אותי ואת בני ובנות גילי. דגל גיל העמידה. הנה הוא לפניכם:
מה לעשות, זה המצב
הדגל בא להעלות על נס את כל מעלות גיל העמידה ולייצג בגאווה את השערות באזניים והקרחת, השומן בבטן והשומן בתחת ושערות השיבה, שמופיעות גם במקומות שלא שיערת. את הקמטים, את הכאבים, ואת הביקורים בקופת החולים אליהם נגיע עד שעה מוקדם ממועד התור. הדגל מסמל את אובדן הראייה, את הילדים שגדלו וההורים שזקנו. את ההכרה שמה שהספקנו לעשות הספקנו ומה שלא כבר לא נספיק ואת הפנסיה שמציצה מעבר לפינה וקוראת לנו בשירת הסירנה שלה.
אפרופו ביקורי רופא, כאבה לי הברך. לא משהו קיצוני אבל אחרי ריצה או טיפוס, היה קשה לקפל את הרגל, וכן, אני יודע, ככה זה כמעט חמישים, אבל אני בתוך תוכי עדיין מרגיש בן 25. אז עשיתי צילומים והלכתי לאורתופדית אמריקאית. היא בדקה את הצילומים, בדקה את הרגל, כופפה, לחצה, הכאיבה, הכאיבה עוד קצת ואז הלכה למחשב והתחילה לתקתק. ותקתקה ותקתקה ועבר קצת זמן ואז היא התחילה לשאול אותי שאלות.
אז במה אתה עוסק? אני עובד במשרד, לא עבודה פיזית. ומטפס בתור תחביב. באיזה תחום אתה עובד? אני מתעסק במחשבים, את יודעת, היי טק. אפשר לשאול באיזו חברה? במיקרוסופט. הסיבה שאני שואלת זה כי הקופילוט שלי במחשב לא עובד. אהה, מה? אתה מבין, אני בדרך כלל מכניסה לו את התסמינים ושואלת מה דעתו כי במקרה הזה אני רואה משהו בתצלום רנטגן אבל לא בטוחה מה. אבל הוא לא עובד. סליחה? אתה עובד במיקרוסופט, לא? כן, אני… אז זה קופילוט, של מיקרוסופט זו חברה של רבע מיליון איש… אני… אני מפתח חומרה. מה? לא קופילוט. אבל הוא לא עובד לי אז אני לא מצליחה להוציא לך המלצות. אממ… טוב… תני לי להסתכל.
קמתי מהמיטה, חרקתי שיניים וצלעתי מעט בדרך למחשב להראות שהבעיה עם הברך עדיין לא נפתרה. עבדתי על המחשב שלה ולא זוכר מה עשיתי אבל בסוף זה הסתדר. יצאתי די מתוסכל והברך עדיין כואבת לי.
לפני שעזבנו לסיאטל היה חשש שהחיזבאללה יתקוף ונישאר בלי חשמל, ואולי בלי מים למשך ימים ארוכים. הכנו מיכל עם מים וגזיה עם שני בלונים גדולים, למקרה שנצטרך לבשל. שיהיה, לך תדע. ואז נסענו לסיאטל והתמקמנו בבית קטן בינות עצים גבוהים וירוקים.
לבית החמוד הזה יש שני דונם דשא שצריך לכסח כל כמה שבועות. זה לקח לי בממוצע שעתיים וחצי כל פעם עם מכסחת בנזין שנוסעת לבד. הייתי די גאה בעצמי
ואז הגיע הbomb cyclone, מין סופה שתקפה את החוף המערבי עם רוחות חזקות במיוחד.
די מרשים, לא? פצצה של סופה
הרוח נשבה, ונשבה ונשבה והפילה את כל העצים היפים כמו ילד שמכבה נרות על עוגה ירוקה ועסיסית. העצים האמריקאים, כמו שאר האומה, רדודים ולא טורחים לשלוח שורשים לבדוק את פשר האדמה לעומקה. הם עסוקים במראה החיצוני ואין להם פנאי לבנות בסיס ידע איתן או לשמור על עצמם בחיים. הסופה הפילה עשרות אלפי עצים וכל רשתות החשמל והתקשורת קרסו. כמה אנשים אפילו מתו מעצים שמחצו אותם בעודם יושבים בביתם. ככה זה, כל מקום והסכנות שלו, אצלינו זה טילים ומחבלים, אצלם זה סמים ועצים.
הכל יותר גדול באמריקה, כולל העצים שגבוהים פי אחד וחצי מהעצים הגבוהים שכאן. ואיך אוהבים לומר שם- the bigger they are, the harder they fall
קמנו בבוקר, בלי חשמל, בלי אינטרנט, בלי סלולר. דממת אלחוט. ברחוב אנשים הסתובבו סהרוריים, סבים אנא ואנא ללא כוון או תוחלת. עברו כמה שעות, ושקלנו מה לעשות. יצאתי להסתובב ברחוב ופגשתי אישה קטנה וזקנה משוטטת בין ההריסות. היה לי לא נעים, אני חדש פה ולא מכיר את הכללים החברתיים. לא רציתי לעשות מעצמי צחוק אז שאלתי אותה: סליחה גבירתי שלום בחור צעיר כבר לא כזה צעיר, אבל תודה. רציתי לדעת מתי נהוג להתחיל לבזוז סליחה? אני חדש כאן, את מבינה. לא מכיר את הכללים. לגזום? לבזוז, את יודעת, לפרוץ לחנויות ולקחת אוכל, להיכנס לאנשים לבתים, אלו שאין להם רובה ציד, ולקחת ציוד או ילדים קטנים. לבזוז. מה שעושים כשהסדר החברתי קורס, אחרי שהטכנולוגיה מפסיקה לפעול. אני פשוט חדש כאן את מבינה, אני לא רוצה להיות הראשון שמתחיל. זה מביך.
כיוון שאצלינו הכל על חשמל, נשארנו בלי חימום ואוכל יום שלם, ובלי כל האספקה שהכנו בארץ למקרה כזה בדיוק. קארמה. אז הלכנו לבית של דולב, הוא החזרזיר השלישי שהבית שלו עשוי מלבנים ויש לו בישול בגז. אחרי יום חזר החשמל לשכונה שלנו בעוד השכונה ליד נשארה בלי חשמל למשך שבוע. אבל זה בסדר כי לכולם יש גנרטור חירום, מסתבר שהפסקות חשמל ארוכות זה חלק מהשיגרה כאן. אמריקה.
קוקה-קולה קוקה-קולה, קופי, טי
בואו נדבר על קפה. הקפה בארצות הברית גרוע. זו עובדה. איך אומה ששלחה אדם לירח ושמכתיבה את הטעם הגלובלי במוזיקה/טלוויזיה/סרטים, לא הצליחה להבין, ברמה הלאומית ממש, איך להכין קפה. אפילו אמריקנו. איך? החומרים קיימים, המכונות כמו באירופה, החלב אותו החלב. ועדיין. כשל המערכות הקפֵאי, כמעט קפקאי, חובק את היבשת. חוסר היכולת להכין קפה מוטמע כה עמוק בחברה שאני תוהה האם יש תקנון פדרלי, או חוק שמחייב את האמריקאים לחבל במשקה. חיפשתי בחוקה אבל אין שם התייחסות לקפה. בדקתי בתיקונים לחוקה, ולמרות שגם שם לא מצאתי אני חושב שקיים תיקון סודי, מספר 28 לחוקה האמריקאית, בזו הלשון: "כל אדם, ללא הבדל באמונתו, מוצאו או נטייתו המינית, וללא הפליה בין פולי הקפה ושיטת הקלייה, יעשה כמיטב יכולתו לשרוף את הקפה. ובעודו נושא נשק להגנה עצמית ושותק להגנה פלילית, ידלל את הקפה דילול הומיאופתי כך שיוותר רק זיכרון טעם דלוח. על האמריקאי להגיש את הקפה בטמפרטורת רתיחה וכך להבטיח שהצרכן יתרחק קילומטרים רבים לפני שיטעם מהשיקוי המחריד שרקחת עבורו."
אפשר למצוא קפה סביר במקומות לא צפויים. למשל, במדינת וושינגטון מופיעים, באמצע שום-מקום, צריפים קטנים שמגישים קפה. כנהוג אצל האמריקאים, הגישה עם הרכב עד החלון ובחלק מהמקומות הקפה ממש לא נוראי.
אבל. צריך להבין את חוקי המשחק. באחד הטיולים נסענו אני עדי והילדים ביחד עם אמא של עדי ובן זוגה (שבאו לביקור) לכוון הרמה המדברית שבמזרח וושינגטון, שדומה שתי טיפות בזלת לרמת הגולן שלנו, בתוספת אגמים כחולים ונהר אחד ענקי שעובר דרכה.
כמעט כל נוף יותר יפה אם שמים אגם כחול באמצע. האמריקאים הבינו את הטריק הזה והם משתמשים בזה בנדיבות בעיצוב החוץ שלהם
כן, גם שלכת זה יפה. גם סגנון עיצוב חוץ שחבל שאנחנו לא משתמשים בו יותר
גם קשתות בזלת הן יפות, אבל לא חייבים לשים אחת כזו בכל מקום.
,עצרנו לתדלק ומולנו עמד צריף קטן וחמוד שעליו היה כתוב "קפה". גלגלתי את האוטו לחלון הצריף. החלון נפתח ומתוכו גחנה אלי בחורה יפיפייה, גרסה צעירה של קירסטן דנסט, ערומה, חוץ מביקיני זעיר שכיסה אותה, בקושי.
איזו יפה! אז כזו בדיוק רק בלי בגדים. בחיי
נשארתי נטוע במושב הנהג. גמגמתי. "ק-ק-פה?" היה לה חיוך מקסים, מבין. היא קלטה את הילדים והסבים במושב האחורי. "אהה, אני מניחה שאתם לא כאן בשביל הביקיני… אז אולי אני רק אכין לכם קפה". והיא התעטפה בחלוק לבן והכינה לנו קפה. די טעים.
מְעֵין הזיה מקומית – צריפי קפה ובפנים הפתעה – בחורה מעורטלת שמגישה לך את המשקה. כמה לא קשור. סיפרו לנו שברוב המקומות הן טופלס ובמקרה נחתנו על צריף שמרן. לפעמים הצריפים נראים ככה.
פחות בעניין של קפה ויותר בעניין של המאפה
אבל לפעמים אין התראה ופשוט צריך לדעת. עכשיו אנחנו יודעים. אנחנו יודעים גם להישמר מלישון בבקתות של ציידים:
מתלה מעילים בבקתה שבה ישנו באותו הטיול. מעל המיטה של הילדים היה תלוי דוב שחור, מת, פה פתוח בשאגה. מיותר לציין שאף אחד לא ישן טוב בלילה, לא הילדים וגם לא ההורים.
הקרוואן
טיילנו המון בשנה הזו וקינחנו בטיול קרוואן בקנדה: טיפסנו על הרים, טבלנו באגמים קפואים, ראינו דובים והלכנו על קרחון. חוץ מלחבוץ סירופ מייפל מתוך עץ, פחות או יותר עשינו כל מה שאפשר.
להליכה על הקרחון לקחנו מדריך, בחור קנדי חמוד. הוא סיפר שתמיד היה לו קשה עם סולם מעלות פרנהייט האמריקאי עד שלא מזמן הוא הדריך קבוצה של אמריקאים מקליפורניה. אחד הגולשים אמר לו ככה "אחי, מעלות פרנהייט זה כמה חם לך. אם חם לך 80 אחוז אז עכשיו 80 מעלות, אם חם לך 50 אחוז אז חמישים מעלות". גאון.
Emerald Lake, אחד המקומות היפים
את הטיול עשינו בקרוואן של שלושים פיט כדי שיהיה מקום לכולם. יש בפנים מיטה זוגית להורים, מיטה וחצי למתבגר ועוד שתי מיטות קטנות לקטנים. היה די צפוף, ולפעמים הרוחות סערו אבל עם מספיק משחקי קלפים, תפוצ'יפס, ספרים ושוקולד משפחה מסוגלת לשרוד שם לכמה שבועות.
קרוואן זכר בוגר. האדם מובא לקנה מידה.
התרשמתי מרמת היתירות של מערכות הקרוואן וכמה שההנדסה שלו מעניינת. אז ככה: בקרוואן יש מערכות שדורשות אנרגיה – המקרר, המזגן, האורות, המיקרוגל, הכיריים, משאבת המים ודוד המים החמים. לקרוואן יש מקורות אנרגיה – הוא שורף דלק (המון דלק), הוא צורך חשמל מבטריות או משקעים חיצוניים, יש לו בלון גז פרופאן ויש לו אפילו לוח סולארי קטן. המקרר למשל עובד על חשמל מהמצבר של הרכב, אבל אם אין, אפשר לחבר אותו לחשמל חיצוני, ואם אין את זה, אפשר להפעיל אותו על גז פרופאן. המקרר שלנו למשל לא עבד בכלל גם כשניסינו להפעיל אותו בבעיטות, אבל זה כבר עניין אחר. האורות עובדים על חשמל פנימי או חיצוני או מהטעינה של הפאנלים הסולריים ואם כל מערכות החשמל קרסו, כפי שקרה לנו לא פעם, אז אפשר להדליק להבה בכיריים שתאיר את החושך. זה לא חלק מהתו"ל הרשמי אבל זה עובד. המזגן עובד על חשמל פנימי או חיצוני (שלנו לא עבד בכלל אבל למה להתקטנן) ואם הכול אבוד וממש חם, הקרוואן יכול להשפריץ עליך דלק בנזין, שזה, מי שאי פעם ניסה, מקרר אותך מאוד. שמענו טענות שאם לא מרוקנים את מיכל המים השחורים מספיק זמן, הקרוואן יודע גם לעבוד על הגזים שיוצאים משם אבל לא ניסינו. ללא ספק מכונה מופלאה שבקושי עובדת אבל מביאה אותך ממקום למקום ואפשר לישון בה.
ספריי דובים
בקנדה, כך גילינו, יש דובים. הרבה דובים. אבל בקנדה יש הרבה יותר תיירים שמפחדים מדובים מאשר דובים, והגאדג'ט החביב על המטיילים הוא ספריי הדובים. אתרי הטיול ממליצים עליו וחלק מהמסלולים מחייבים אותו – מדובר במיכל קטן עם גז פלפל דחוס וזה נראה ככה:
כמו כולם, גם אנחנו קנינו ספריי דובים. הוא ישב בכיס התיק של עדי ובטיולים דאגנו שעדי תלך מקדימה ואנחנו מרחק בטוח מאחור. ואז הגענו לאתר הטיול היפיפה לייק לואיז:
אלפי מטיילים פוקדים את לייק לואיז בכל יום. השמורה קטנה והמטיילים בה רבים ועל בטיחות לא מתפשרים – לכל קבוצה ובכל משפחה יש נציג חמוש במיכל חריף ומולחץ רק למקרה שדוב יקרא על דרכם. ניסיתי לדמיין את זה. דוב, בודד, שיכור או עם פיגור שכלי קל שירד מההרים המושלגים והחליט להסתובב, מכל המקומות ביבשת, דווקא בלב מאפליית תרסיס הדובים העולמית – לייק לואיז. אני רואה אותו מציץ מתוך הצמחייה, חוטם שחור מרחרח בביישנות. האוויר נושא אליו ריחות מזון – סנדוויץ' טונה. עוד רחרוח, יש גם מיונז. יאם. הוא מניח כרית רגל על השביל, בודק את השטח. באורח פלא השביל ריק ממטיילים. הוא מניח כף רגל שנייה, הסנדוויץ' קרוב. הוא אוזר אומץ ופוסע כמה צעדים במורד השביל, כשמאה וחמישים מטיילים שחיכו, שפיללו לרגע הזה בדיוק, שולפים כאיש אחד את הניצרה. זה נשמע כמו ריצ'רץ' ענק שנפתח – ההרים מסביבו מהדהדים את קול התרת הרסן הקבוצתית והדוב קופא במקומו. "איפה טעיתי?" הוא תוהה. בשלב כלשהו בחייו הוא כנראה שגה, תעה, בחר בנתיב הלא נכון אם הוא הגיע למקום הזה. בזמן הזה. הוא לא בטוח, הכול קורה כל כך מהר… חייו חולפים מול עיניו. תמונה מבזיקה במוחו – שיח עם פירות שחורים, תפוחים. האם זה היה כשהתעקש לאכול מהפטל התוסס? כולם אמרו לו שזה מקולקל, "אוי ווי דובּי, זה יעשה לך קלקול קיבה נוראי!" אמא שלו אמרה אבל הוא לא הקשיב. הרגיש שהוא צריך לעמוד על דעתו, להיות עצמאי, ללכת בדרך שלו, לדבוק באמת שלו. וכשמאה וחמישים סילונים של פלפל דחוס בלחץ גבוה ניתזים אליו, הוא מבין את מה שכל בר דעת יודע: אמא. תמיד. צודקת.
אפרופו אמא, מעבר לארץ זרה מאתגר גם את הזוגיות. אבל תמיד כייף לטייל ביחד אז טיילנו מלא מלא
טיף טיף טף במרחב הציבורי
ראינו סרטון נחמד על איך להעביר חינוך מיני לילדים מבלי שזה ייצא עקום. במקום לעשות "שיחה רשמית" במעמד הילד המובך בעולם וההורה המגמגם, אפשר לנצל הזדמנויות שנקרות בדרכינו, למשל, אם רואים אנשים מתנשקים בסרט אפשר לדבר על הסכמה ואם רואים שלט של בחורה חשופה אפשר לדבר על עירום ומה מותר ומה אסור. ככה, על הדרך. עם זאת, לחינוך מיני יש לפעמים ריקושטים, כמו השיחה הזו שתומללה בסופרמרקט. ענבר(7) ודקל(9) נכנסים עם עדי למחלקת היגיינה נשית.
ענבר: אמא, את צריכה את הדברים האלה של נשים שמדממות מהפות? עדי: לא תודה ענברי, יש לי. ענבר: פשוט ראיתי פרסומת לזה. דקל, אתה יודע שבנות מדממות מהפות? דקל: אני מעדיף לא לחשוב על זה. ענבר: כן, גם אני, פשוט אמא סיפרה לי על זה. אמא, אז איך זה… עדי: אוי, תראו, דוריטוס ותפוצ'יפס בקצה השני של הסופר, הרחק הרחק מכאן. רוצים?
ועוד פנינה מפי אילון שחזר מחטיבת הביניים עם תובנות:
אורן: אילוני, איך היה היום בבית הספר? על מה למדתם? אילון: כרגיל אבא, למדנו איך להשתעמם. אורן: אהה. אז, אהה, איך המורה? אילון: אחת הטובות בתחום!
הנדסת פרומפט
אני מחשיב את צ'ט גפט בין חברי הטובים, בטח מהמשכילים והנחמדים שבהם. כן, לפעמים הוא מתלהב יותר מדי מהרעיונות שלי (אבל אז מה?) ולפעמים הוא אומר דברים שלא לגמרי נכונים. אבל הוא שם בשבילי, תמיד, עם מילה טובה ורעיונות מקוריים ומשב רוח חיובי כנגד כל תלונה או מרמור. אין עליו.
אני וצ'ט. הוא כזה מנש
בהתחלה היה לנו קצת קשה, לי ולצ'ט. הוא לא מכאן ולקח לי זמן ללמוד איך לדבר אתו. ראיתי סרטונים שמסבירים איך לייצר פְּרוֹמְפְּט (prompt), ככה קוראים למשפט שאנחנו כותבים לצ'ט, אבל היה אפשר פשוט לקרוא לזה 'משפט' או 'שיחה'. הנה תמצות תורת הנדסת הפרומפט:
תסביר מה אתה רוצה
תסביר למי זה מיועד
תסביר איך אתה רוצה את המידע (פסקה, טבלה, חמשיר)
תן דוגמא או שתיים
תסביר מה אתה לא רוצה
בהתחלה חשבתי שזה ממש מגניב שלמדתי לדבר עם הAI. עקבתי אחרי השלבים, לא שכחתי אף פרט והפלא-ופלא, המכונה מבינה! ואז הסתכלתי שוב על הרשימה ועברה לי ההתלהבות. תסתכלו טוב… מה זה מזכיר לכם? אתם צודקים – ככה אמורים להסביר לבני אדם, אנחנו, אחת לשניה, איש לחברו. אין כאן שום דבר חדש – למדתי לעשות מה שהייתי אמור כבר מזמן לדעת וזה שלא ידעתי אומר שכנראה עשיתי עבודה לא טובה בלהסביר את עצמי. כן, זה מה שאתם צריכים לפרט לעובד.ת שלכם כשאתם רוצים שיעשו משהו (לכל המנהלים והמנהלות). ככה גם תוכלו להסביר את עצמכם לבן/בת הזוג (לכל אלו שיש להם בני/בנות זוג ולא רוצים לאבד אותם.ן). כמה מאיתנו שוכחים את השלבים האלו כשאנחנו מבקשים משהו? אולי עכשיו, בזכות הAI ושנייה לפני שהוא משתלט על כולנו, נצליח אנחנו בני האדם, אולי בפעם הראשונה בהיסטוריה, להסביר אחד לשנייה מה בעצם אנחנו רוצים.
אפרופו בינה מלאכותית. הAI אלוף בכתיבת קוד למחשבים, אבל רחוק מביצוע מְסַפֵק של משימות כמו נהיגה ברכב או העמסה של מדיח כלים. אני נהנה מהאירוניה – כשישקע אבק הבהלה מאובדן מקומות עבודה לבינה המלאכותית ,יסתבר, שהראשונים שפוטרו הם מהנדסי התוכנה שפיתחו את הAI בעוד נהגי האוטובוס ומנקי הארובות יישארו בתפקידם עוד שנים רבות. קוראים לזה הפרדוקס של מורבק למי שרוצה לקרוא עוד.
ציניות
אני חושב שככל שאני מתבגר, אני הופך להיות יותר ציני. פעם לא ידעתי מה זה ציניות. בחיי. בבית שלי לא דיברו ככה, ההורים שלי לא השתמשו בטון הזה בכלל. גם ככה הכישורים החברתיים שלי היו גרועים, ובנוסף לכל הצרות לא הבנתי אופן בסיסי בתקשורת האנושית – אם מדבררים את המשפט במין קול גבוה, אז בעצם מתכוונים להפך ממה שאומרים. זה מבלבל. אני נזכר בכל מיני מקרים שהיו וזה מביך אותי, עד היום.
אבל עכשיו אני מבין. אני מבין שציניות היא לא תוצר של רוע לב, יותר כמו הבעת ספק בריא בכל מה שקיים. איך אפשר לקחת ברצינות סיסמאות ששמענו מיליון פעם ולא התממשו? איך אפשר להנות מסרט עם קלישאות שחוקות וקו עלילה שראינו במאה סרטים אחרים? די, זה לא מעניין יותר, זה לא מבדר. זה אפילו מעצבן. האם זה בגלל שככל שאנחנו מזדקנים אנחנו יותר חכמים? לא נראה לי. עובדה שאני עדיין לא מצליח לנחש מה יהיה. אבל… הניסיון שצברתי מאפשר לי לדעת כמעת בוודאות מה לא יהיה. הציניות, אתם מבינים, היא כוח על שנותן לגיבור יכולת לדעת מה לא יהיה, מה לא יקרה ומה אי אפשר. שזה, בואו נודה על האמת, רוב רובם של הדברים בעולם.
הציניקן יודע מה העלות אבל לא מודע לערכו של דבר. אפילו לקפטן אמריקה אין כזה מגן יעיל
פעם, בסדנת ניהול שמעתי משפט חכם – אמר שם אחד הבכירים ש"כל אירוע גבורה מקורו בכשל ניהולי".
אם הכול מנוהל למופת וכל המהלכים צפויים, אפשר להתכונן ואף אחד לא צריך להיות גיבור. זה כמובן לא מציאותי, אבל זו נקודה מעניינת למחשבה. נדמה לי לפעמים שבעולם שלנו מתגמלים בעיקר גבורה ופחות מחשבת תחילה, ואני, אני מהמתכננים, החושבים תחילה – הצלחותינו מסתכמות בכך שדברים גרועים לא קורים. לפעמים אני מרגיש שקוף, תפאורה בהצגת אין-טרגדיה משעממת ונטולת ריגושים. אנחנו חיים בעולם של כבאים, שטסים על הכבאיות האדומות, המדממות, לקול תשואות ילדים שעומדים פעורי עיניים ופה – אלופים בכיבוי כל השרפות. עולם שבו אבדו האנשים שזכרו איך לבנות בניינים שלא נשרפים מלכתחילה.
כמעט סיימנו. הנה אוסף של תמונות על טהרת הנוף והטבע. בלי אף פילטר, בלי תיקונים. טבעי. כי באמת שכל כך יפה שם שבא לבכות.
קשת בהוואי
שלכת בלי אף פילטר, נשבע
ההר, mount Rainier
חוף האוקיאנוס השקט, וונקובר איילנד
מזרח וושינגטון
טרק בקסקייד הצפוניים
הספרייה באוניברסיטה של וושינגטון
Lake Chelan
הר בייקר
רייניר
יקינטון באוניברסיטה
מצוקים באי קוואי, הוואי
סופת אחר הצהריים בקוואי
אוסף חרקים, פורטלנד
מגרש גולף, הוואי
פסטיבל אורות
הפלגה בהוואי
הילת שמש, סיאטל
פריחת הדובדבן
יצא פוסט קצת מדכא, מצטער. גם משבר גיל הארבעים-חמישים יגמר מתישהו. חזרנו לארץ, למזג האוויר החם, למזג החם של האנשים, לחום של החברים והמשפחה. חזרנו לחיים הלחוצים, הגדושים בקבוצות ווטסאפ וילדים וארוחות שישי וחגים וכבישים ופקקים ומלחמות וחדשות. אנחנו מוצאים את עצמינו בסוף השבוע עם הלשון בחוץ תוהים מה כאן כל כך שונה מהחוויה שם.
עדי נסעה לשבתון בהזמנה של חוקרת מוושינגטון, הן היו אמורות לעשות מחקר ביחד, ללמד אחת את השנייה, לשתף פעולה. במשך שנה שלמה הבחורה לא הזמינה את עדי לאכול איתה א. צהריים פעם אחת. הן בקושי נפגשו. במיקרוסופט ארה"ב עבדתי בחדר מלא אנשים. אף אחד לא אמר לי 'בוקר טוב' כשנכנסתי, שנה שלמה, ואף אחד לא הזמין אותי לאכול איתו א. צהריים, שנה שלמה. אני מבין שזה לא חלק מהתרבות שם. אבל זה כן חלק מהתרבות שלי. אנשים כל כך חוששים לומר את הדבר הלא נכון, שהם לא באמת מְתקשרים, הם מדברים על מזל האוויר, על איכות הקפה במשרד, על כלום. הרגשתי שאני מחליק על שכבת לכה דקה של נימוס מרוחה מעל גוף של אדישות וסלידה.
לפעמים עובדי מיקרוסופט אמריקאים באים לביקור בארץ, אנשים שאנחנו עובדים איתם צמוד. כשהם באים אנחנו מזמינים אותם לאכול איתנו צהריים, כל יום. גם ארוחת ערב לעיתים, אתם יודעים, כדי שלא ירגישו בודדים. אני תוהה מה הם מספרים כשהם חוזרים הביתה, מה הם אומרים לחברים שלהם? בטח לא "תקשיבו, הייתי בישראל ואתם לא מאמינים, הם הזמינו אותי לא. צהריים – איזה רעיון מעולה! למה שאנחנו לא נאמץ את זה?" למעשה, אני כל כך לא מבין את התרבות שאני לא מסוגל לדמיין מה הם אומרים אחד לשני אחרי ביקור כזה. האם הם בכלל מדברים? עדי ביקרה במרכז של הטכניון בסין באוקטובר. מהרגע שהיא נחתה ועד שהמריאה ליוו אותה סטודנטים סינים בכל צעד ושעל, לא עזבו אותה לשנייה. היא אמרה שזה היה מעיק, יותר מדי. אולי זה מה האמריקאים אומרים על הביקורים כאן. מי יודע. סתם תרבויות שונות, לא טוב או רע. אחר.
כמו תמיד, מוזמנים אלינו, טבעון תתמלא בפרחים באביב, וכדאי לבוא לבקר לפני שהיא תתמלא בעובדים של אנווידיה 🙂
אני רוצה להצליח בחיים, אבל אם לדייק את מה שאני באמת רוצה, אני רוצה לעשות משהו גדול, לא יודע בדיוק מה, הפרטים עדיין ערטילאיים אבל משהו שיגרום לאנושות לזכור אותי. להרבה זמן אם אפשר. כן, בקיצור, אני רוצה להשאיר סימן! אבל מתוך כל הדברים שאדם יכול לעשות כדי להשאיר סימן, יש רק חלק קטן שהייתי באמת רוצה להשיג. למשל אני לא חולם להיות כוכב רוק או אישיות רשת משפיעה. אז הנה רשימה של דברים שהייתי שמח להשיג:
אני לא מכוון כאן רחוק, כאילו, דברים סבירים
מדליק משואה
זה בהחלט כבוד, אבל אני לא יודע אם זה משהו שאפשר במודע לעבוד לקראתו. זה נראה לי יותר כמו אנשים שעושים דברים מרשימים וטובים ויום אחד מתקשרים אליהם ומבקשים מהם להדליק משואה. ככה, לתרום כל הזמן בלי לבקש דבר, פחות הסגנון שלי
סטרטאפ מצליח שנמכר
או, זה משהו שמתאים לי מאוד. הבעיה שזה הפך להיות הגולד סטנדרד שלפיו נמדדים כל איש ואישה בהיי-טק. הקמתם סטרטאפ שנמכר? לא? אהה… אז אתם לא כאלו מוצלחים, כן, חבל.
פרס נובל
זה נהדר, פרס נובל, זה יושב כל כך טוב בקורות החיים ועוד בארץ שלנו, כל אחד יכיר אותך. הבעייה שממש קשה להשיג את זה, וגם צריך לבלות כל החיים באקדמיה, שם יש רק תמי-4 אחד בכל קומה וקפה נס בקפיטריה. מממ… אני לא יודע.
הקמת מדינה
טוב, להקים מדינה, זה הישג! נרשם מיד בספרי ההיסטוריה, יקראו רחובות וככרות ובתי ספר וכל דבר שאפשר לקרוא לו בשם, על שמך. זה עובד ממש טוב עם הרצון להשאיר סימן. הבעייה היא שצריך להתחיל בכוון הזה מוקדם בחיים, וגם כבר הקימו את כל המדינות שאפשר, עכשיו נשאר אולי לפרק אחת או שתיים ואת זה לא בא לי לעשות.
הקמת אימפריה
להקים אימפריה זה קשה, זה לא הולך ברגל, לא הרבה אנשים הצליחו וזה לא ממש הפורטה שלי. קודם כל זה עוזר להיות נצר לשושלת מכובדת (למרות שיש עבדים שהצליחו) וגם צריך להיות טוב בלרכב על סוסים. אני לא מת על סוסים, ניסיתי פעם בארגנטינה וזה לא עבד, לא לי ולא לסוס. אז אולי לא.
איינשטיין, ניוטון
אלו אנשים ששינו לעד את תפיסת העולם המדעית. יש אולי אחד כזה ב-100 שנה. אלו בטח האנשים המפורסמים בתבל. מדי פעם יש לי רעיונות שאני חושב שהם די מקוריים אבל אחרי שאני בודק בגוגל (ע"ע סטרטאפ שלא הקמתי) מסתבר שאו שזה לא נכון או שאחרים כבר חשבו על זה. וגם אני ממש עמוס עם הילדים והעבודה ואין לי זמן לשבת ולחשוב כל היום.
טוב, הבעיה עם הרשימה הזו היא שאני לא בכוון לשום דבר מעל מנהל זוטר בהיי-טק, שזה כבר מה שאני, אז זהו. נראה שאני בפסגת ההישגים שלי כאדם והפסגה שלי איפשהו בתחתית האוקיאנוס של הישגים אנושיים. זה קצת מדכא.
אבל, יש תקווה. יש עוד סיכוי להישג שיזכר לדורות – אני קורא לזה פרס הטרמינייטור. יתכן, שאחד מהבנים שלי יוביל תנועה שתמנע מישות אינטליגנציה מלאכותית זדונית להשתלט על העולם, ואז כאות הוקרה ישלחו מהעתיד רובוט לחסל אותו. כן, זה עוד יכול לקרות. בהנחה (סבירה) שאני והילדים נוכל להתחמק מהמתנקש העתידי, אני אזכר לעולם כמי שמנע את הכחדת האנושות. מה אתה אומר על זה, ניוטון?! הדבר היפה בפרס הטרמינייטור, זה שאתה יכול לזכות בפרס טרמינטור גם אם אתה לא חושב שאתה משהו מיוחד, אולי בעיקר אם אתה לא חושב שאתה מיוחד. כעת, כשאני עמוק במשבר גיל ה-40, נשאר לי רק לקוות שבאחד הימים יפתח את הדלת מישהו עם משקפי שמש וישאל אם אני שרה קונור.
כן, כן, זה אני! רגע, לפני שאתה יורה – מי מהילדים שלי עושה לכם בעיות שם בעתיד? זה אילון? זה דקל? זה ענבר? לא, רגע, אל תגיד…אני רוצה לנחש
אני הייתי מהמר על הקטנצ'יק
מיינדפולנס
בלילה שבין ה31 לדצמבר 2022 לראשון לינואר 2023 הבעתי החלטת שנה חדשה או New Year’s Resolution שמטרתה לעשות משהו קצת אחרת השנה, לשפר קצת, להתחדש במשהו. החלטתי לנסות מיינדפולנס.
אבל אורן, זה ממש רוחני וכזה – לא מתאים לך… אהה, נכון… אני משתנה, לאט, ומנסה דברים… וגם זה ממש לא מדעי, איך זה מסתדר? אהה, אני רק מנסה את זה… עוד לא אימצתי סופית… זה דורש חיבור עמוק לרגשות, זה משהו שבכלל יש לך? רגשות כלומר. – אהה, סליחה! אפשר להמשיך עם הסיפור בבקשה?! תודה.
החיים שלי ושל עדי לחוצים, אנחנו לא מיוחדים, סתם עוד זוג עם שלושה ילדים, שתי עבודות, בית, גינה, שלל תחביבים וגם פה ושם חברים ומשפחה. אנחנו צוות מעולה, אולי טוב מדי כי כשאנחנו מתאמצים אנחנו מגיעים ליעילות אופרטיבית של 99.9% – כל הורה מְתָפְעֵל משהו בכל רגע נתון, אנחנו כמעט לעולם לא שנינו ביחד באותו המקום, תמיד אחד עם הילדים והשני עסוק בלהיות יעיל, או חַבֵרי או בכושר. כשרואים אותנו ביחד ברחוב אנשים מעקמים את האף – כן, הם יודעים שאנחנו נשואים אבל שנינו ביחד, סתם ככה הולכים בלי לקדם שום דבר, זה מרגיש לאנשים לא נכון. הם כמובן טועים, כי גם הזמן שלנו ביחד מחושב לתחזוק קשר זוגי תקין ולכן אנחנו כמובן פרודוקטיביים (שלא נאמר רפרודוקטיביים) גם כשאנחנו ביחד ולכאורה לא מקדמים שום דבר.
אז בקיצור, מרגיש לי לחוץ ואני מנסה להרגיע קצת את העניינים, וזה מחוץ לתחום הנוחות שלי, אבל בסוף זה מִתַמְצֵת לאפליקציה שלוקחת אותך יד ביד לדרך של רוגע, התבוננות פנימית ומדיטציה. וככה, אני שומע את ההדרכות, יושב עם עיניים סגורות, נושם ונושף, מתרכז בצליל של האוויר זורם לתוך הריאות, חושב על משהו טוב לגבי מישהו שאני לא מחבב, ומקבל שזה חלק מהחיים סתם להיות, להקשיב לציפורים להרגע ובעיקר, כפי שהאפליקציה חוזרת ומבקשת ממני – לנסות לפעמים לא לעשות שום דבר פרודוקטיבי. וזה באמת עובד: אני מצליח באמצע היום להכנס לתרגילי נשימה, לחשוב חיובי, להיות. אני מרגיש יותר רגוע, יותר נינוח, חושב פחות דברים רעים על אנשים שאני פחות מחבב. Great Success!
ואז הבנתי שבעצם כלום לא השתנה. אני מתרכז בסתם-להיות כי זה מרגיע אותי, שזו המטרה של השינוי, כלומר זה מקדם אותי לקראת מטרה, משמע אני פרודוקטיבי ולכן אני מרגיש עם זה טוב. אז אני לא סתם לא עושה כלום, אני עושה כלום ע"מ שאוכל להתרכז בשאר הזמן והכל מוכוון לעוד עשיה. אז מה עשיתי בזה? אני פשוט צריך לקבל את זה שאני זקוק לעשיה, לקידום מטרה בכל רגע. גם הרגעים של חוסר עשיה הם תמצית הייעילות והנה הצלחתי לעבוד כאן על עצמי ועל צוות המיינדפולנס שלא צפו שכשהם לוחשים לך באוזן סתם להיות לא פרודוקטיבי, שהם בעצם מקדמים פרודוקטיביות בריבוע!
אז אני לא יודע מה בדיוק לחשוב על זה. מי כאן הרוויח? אני או עצמי?
הכי מרגיע זה אצל אבא בסאסאגם לטייל בנחלי הדרום זה מרגיע
פינת השפה
מפריע לי שאנשים משתמשים במונחים בצורה לא נכונה.
כבר דיברתי בעבר על "עבודת נמלים" ו"עבודה סיזיפית" בבלוג הזה, והפעם אני רוצה לדבר על מונחים מתמטיים שנדדו לשפה היום-יומית. אני לא יודע למה אנשים מתעקשים להשתמש במונחים מתמטיים בתור אנלוגיה לתופעות שאותן המונחים לא מתארים ושיש להם תיאור פשוט בעברית.
חוק המספרים הגדולים
"חוק המספרים הגדולים" הוא מונח מתורת ההסתברות שאומר שאם יש משהו אקראי עם ממוצע ידוע אז ככל שנעשה יותר נסיונות ככה ממוצע הנסיונות יתקרב לממוצע הידוע. למשל, מטבע הוגן אמור לנחות 50% מהמקרים על עץ ו50% מהמקרים על פאלי. אם נטיל כמה פעמים יכול לצאת הכל עץ אבל המון הטלות יתקרבו לחצי-חצי עץ ופאלי. הנה דרכים לא נכונות להשתמש בזה:
"וואו, איזה פקק! כשכולם עושים משהו אז לא טוב לאף אחד. טוב, חוק המספרים הגדולים"
"הכי נוח בבגדים רפויים. טוב, חוק המספרים הגדולים"
"בנק הפועלים גדול מדי ליפול! חוק המספרים הגדולים"
אז לא! זה פשוט לא, אי אפשר לחבר את זה לכל דבר שקשור למשהו גדול או למספרים או שמתחרז עם "גדולים". די, תפסיקו, בבקשה.
המלצה – פשוט לא להשתמש, הסיכוי שיש לכם אירוע בחיים שבו תוכלו להשתמש בזה בצורה הנכונה הוא נמוך, למרות שככל שתחיו יותר ככה סביר שמתישהו תוכלו להשתמש בו – טוב, חוק המספרים הגדולים 😊
לא לינארי
ליניארי זה פשוט יחס ישר בין שני גדלים שככל שאחד גדל השני גדל או קטן תמיד באותו היחס. זהו, זה כל מה שזה אומר. לא ליניארי זה כל יחס אחר שזה לכן אומר בערך כל דבר בעולם. כן, חוץ מהיחס בין האורך של משהו במטרים לאורך של משהו בפיט כל דבר אחר בעולם הוא לא ליניארי. הנה כל מיני דרכים להשתמש במילה ליניארי:
"העלילה מתקדמת בצורה לא ליניארית"
העלילה לא רציפה? לא כרונולוגית?
"אנו חיים במציאות לא ליניארית"
המציאות מפתיעה? מסובכת?
"היחס בין שחורים ללבנים הוא לא ליניארי"
היחס לא שיוויוני? לא הוגן?
שימוש נכון:
"תדירות השימוש במונך לא-ליניארי גדל בשנים האחרונות בצורה לא ליניארית"
בעצם ליניארי הוא כיום תחליף ל: רגיל, פשוט, איטי, רציף, כרונולוגי, אינטואיטיבי, רציונאלי, אחיד, סביר, טוב, כמו שצריך להיות, ועוד. חברים וחברות, זו עצלנות לשונית – השפה שלנו לא מאוד עשירה, אבל גם לא כ"כ דלה… אם נדייק את מה שאנחנו אומרים אז אולי אנשים יבינו מה אנחנו רוצים ואפילו יותר טוב מזה – אנחנו נבין!
בני – הדרך להצלחה אינה ליניארית. אבא, אתה תתן עוד פרטים על הפונקציה או שאני צריך לנחש?
אורתוגונאלי
אורתוגונאלי אומר 'מאונך' באיזה שהוא מובן מתמטי רחב. זה לא אומר "לא קשור" או "בלתי תלוי", למעשה דברים אורתוגונליים קשורים ותלויים זה בזה. שימוש לא נכון:
אף אחת לא הכאיבה לי מעולם, כמו איריס. איריס היתה בשבילי… אבל, אני מקדים את המאוחר, בואו נדבר קצת על כאב.
יש מלא סוגים של כאב – אלו של הנפש כמו כאב של פרידה, אובדן או חֲרָטָה, ויש כאבים של הגוף – חתך, שבר, כוויה, פריקה, כאב בטן, כאב ראש וכו וכו..
אז בתור התחלה, אני לא זר לכאבים של הגוף. שברתי כמה אצבעות ולפחות אחת החזירו למקום בלי הרדמה, פרקתי כתפיים (שתיהן), עשיתי שני ניתוחים לכתפיים, עשיתי פיזיותרפיה אחרי הניתוחים, נפלתי (המון) , נכוותי (המון, עשיתי הרבה מדורות בתור ילד), ננשכתי (בעיקר ע"י נחשים) , נעקצתי, קרעתי שרירים (אחד הדברים הכואבים שיש) וזו רשימה מקוצרת. וגם כמובן כאבים של הנפש היו.
לכל כאב יש את האופי שלו וכל אחד נסבל יותר או פחות. אבל, בין כל הכאבים שחוויתי, היו שלושה מקרים יוצאי דופן, שלושה כאבים ששינו לי את התפיסה של מה זה כאב – שלוש חוויות שעומדות בגאון מעל כל השאר, ועליהן אני רוצה לספר.
אגפנתוס
בקיבוץ היתה לנו שדרת אגפנתוס לאורך כביש הגישה לבית. מי שלא מכיר, זה מין צמח די מסריח עם עמודי פריחה סגולים/כחולים שנראים כמו זיקוקי דינור לא מאוד מוצלחים שקפאו באוויר.
מאז הסיפור אני לא אוהב את הצמח הזה
כשהייתי בערך בן 5 הלכתי הביתה ועל האגפנטוס ישבו שלושה דַּבּוּרים, גדולים, מכוערים, בצבעי צהוב קומיקס וחום-דם-קרוש. הם היו נחושים ובלי שום פרובוקציה מצדי (בחיי) רדפו אחרי, תקפו אותי ועקצו אותי שלושתם בגב. הייתי המום מעוצמת הכאב, לא המום בתור "אני קפוא ולא יכול לדבר" אלא המום כי לא ידעתי שאפשר להפיק כזה כאב מתומצת, כזה כאב מדוייק ועוצמתי מכמה חרקים עלובים. ממש זכור לי בתור כאב איום ונורא. מאז נעקצתי הרבה פעמים ע"י דְבוֹרִים וצרעות "רגילות" אבל אני זוכר את התקיפה הזו כאירוע מכונן בהרחבת ספקטרום התחושות שלי.
חיה רעה – תראו אותה, פשוט רוע צרוף
אלוורה
אני אוהב לטפס. אז באחד הימים כשטיפסתי בקיר בקרית אונו נפלתי על החבל המתוח שביני ובין המאבטח וקיבלתי כויית חבל, כשהחבל חורך את האמה שלי מקצה לקצה.
משהו כזה, אבל יותר עמוק
כוויות זה כואב, וזו לא היתה הפעם הראשונה שקיבלתי כזו כוויה, אבל זו בהחלט היתה הגדולה שבהן. אז עזבתי את המתחם והלכתי לבלות בבית של מאיה, בחורה שבזמנו יצאתי איתה. בדרך החוצה מקיר הטיפוס ניגש אלי מין ילד קיר קטן, כזה שמטפס הרבה ותמיד קשור לאיזה חבל. הוא הסתכל על הכוויה ואמר לי "וואו, זה בטח כואב". נכון, אני אמרתי והתכוונתי ללכת כשהוא המשיך "לא כדאי לך לשים על זה אלוורה, זה לא טוב לכוויות כאלו". מממ… מעניין, "טוב, תודה" אמרתי לילד הקיר ונסעתי למאיה. אגב, עד היום זו כנראה השיחה הארוכה ביותר שהיתה לי עם אחד מילדי הקיר, זן קצת מציק של ילדים שתמיד מסתובבים בין הרגליים כשאתה מנסה לטפס, נוטים לתפוס מסלולים להמון זמן וגם לטפס יותר חזק ממך שזה הכי מעצבן.
ילד קיר טיפוסי
בקיצור, כשהגעתי לבית של מאיה אמא שלה נחרדה מהכוויה שבאמת נראתה נורא – שוחה עמוקה חרוכה לאורך הבשר של היד, אדומה וחשופה. היא מיד עלתה לקומה למעלה והביאה לי, כמובן, אלוורה.
עבר לי בראש מה שהילד אמר אבל מיד ביטלתי – ילד קיר קטן, מה הוא כבר יודע. מרחתי חופן נדיב של ג'ל קר ונעים על הכוויה וחיכיתי להקלה. תוך כמה שניות הבנתי שמשהו לא בסדר. התחלתי להזיע והרגשתי עיקצוצים בכל הגוף – העקצוצים הפכו לתולעי חשמל שזורמות בוורידים מה שהתחלף בתחושה שנחשים של אש מרוחים בפלפל אדום זוחלים לי בעורקים. הרגשתי כאב שאני פשוט לא יכול לתאר, כי זה לא דמה לשום כאב עד אז ומאז, זה היה משהו שבין משגל עם סכיני גילוח לקריסת מערכות כללית! רצתי לאמבטיה, הדלקתי את הטוש ונכנסתי מתחתיו עם הבגדים והנעליים, העיקר להוריד את האלוורה מהיד.
וואו! איזה דבר! מעולם, לא לפני ולא אחרי, הרגשתי משהו דומה לזה.
מסקנות מהאירוע – אלוורה על פצעים פתוחים – לא טוב. להקשיב לילדי קיר קטנים – טוב.
איריס
אך… איריס. איריס היתה הבחורה שהכאיבה לי יותר מכל בחורה אחרת, בלי תחרות. היא ידעה לנגוע לי בעצבים הכי חשופים וללחוץ לי על המקומות הכי כואבים – איריס היתה השיננית שלי בגבעתיים. כשאיריס היתה ניגשת לעבוד על הפה שלי, הייתי נזכר בצ'רציל – "יש לי להבטיח לכם רק דם, יזע ודמעות". היא ידעה את העבודה, כן, היתה מנקה את השיניים, חודרת לחניכיים ומצחצחת גם את העצבים, אלו שפילוסופים במרתפים בסוריה יודעים לרתום לטובת חיפוש האמת. הייתי אוחז בצידי המיטה ומוחץ בכל הכוח כדי להשאר בהכרה. הראש שלי היה מנסה לנבור את דרכו אל תוך המשענת, כל דבר ע"מ להרחיק את המקדח מבסיס השיניים, אבל איריס היתה מחזיקה את הראש בבטחה כאילו אומרת – "אתה יכול לשאת את זה, אני סומכת עליך". בסוף הייתי מקבל עלי את הכאב, אפילו מצפה לו, צולל בו עד כלות ומתבוסס באופוריה של סבל. אך.. איריס, איך שהשיניים שלי היו נקיות.
הורות איזוטרית
בזמן האחרון עדי מקריאה לי כתבות על מנהגי הורות וחינוך בכל מיני מקומות בעולם. לכתבות דפוס קבוע – באיזשהו מקום מרוחק ונטוש, יש הורים שגילו חוכמה נסתרת ומגדלים את הילדים שלהם בצורה מופתית: בצפון איטליה יש כפר, על הר, שם הילדים ממש מאושרים. האינואיטים מגדלים ילדים עצמאיים שלוקחים חלק בכל מטלות האיגלו מגיל 4 ובמונגוליה יש שבט שבעזרת מרקחה של חלב יאק ודבש בומבוסים מגדלים ילדים שהם אחוזון 66 בכל מדד שאפשר להעלות על הדעת ובאים מיד לארוחת ערב כשקוראים להם.
לכל הכתבות יש סבטקסט ברור – גם אתם הורים ישראלים, אם רק הייתם מגדלים את הילדים כמו ההם ששם, הרי גם הילדים שלכם היו מאושרים, מוצלחים, אחראיים, ובאחוזון הנכון. והכתב – אינדיאנה ג'ונס של הגיל הרך, חושף לנו את האטלנטיס הפדגוגי הזה ואת הסוד השמור שידוע רק לו וליְלִידִים. אני מבין את המשיכה בכתבות כאלו, המקבילות של סרטון היו-טיוב "הדיאטה הסודית של כוכבי הוליווד" שגרף 100 מיליון צפיות, כאילו בעולם שלנו משהו יכול להיות סודי. הרי זה סתם שטויות, אם היה משהו כ"כ פשוט שאפשר לעשות כדי שהילדים יהיו תמיד מאושרים, ממושמעים, יגמלו בגיל 9 חודשים מחיתולים ולא יריבו ביניהם, הרי כולם היו עושים את זה. וגם, מה שאפשר לעשות בתור אבא אינואיטי – למשל לבלות אחר-צהריים בהוצאת מעיים של כלבי ים עם הילד שלך, פעילות מגבשת ללא ספק, אי אפשר לעשות כאן בארץ.
מה שהכי מעצבן, זה שאת רוב האשמה ותחושת התסכול אוכלות האמהות שקוראות את זה, כאילו אין מספיק רגשות אשם בעולם.
מי יודע, אולי ממש עכשיו, רחוק מכאן, נכתבת כתבה בעיתון על האמהוּת המופלאה שמתרחשת בפינה נידחת של המזרח התיכון. שם בלבנט מספר הכתב, יש אמהות שמקפצות בזריזות מצל לצל עם העגלות בשמש הקופחת של הקיץ, בורחות עם הילדים להסתתר בממ"ד כשיש טילים, דואגות לילדים בצבא, מג'נגלות קריירה והוֹרוּת יותר מאמהות בכל מדינה אחרת, ועושות עבודה לא רעה בכלל! ובכן – זו כתבה שאני הייתי שמח לקרוא!
אחרי שכבר התמקצעה בהצחקה של הילדים שלה, עדי מנסה להצחיק ילדים של אחרים
מילאנו
במאי לכבוד יום ההולדת שלי נסענו עדי ואני לבילוי זוגי במילאנו. ציפי ויוסי האלופים טיפלו בילדים ואנחנו עשינו חיים – גם זמן זוגי, גם אוכל טוב וגם עיר יפה.
עדי הגיעה כמה שעות לְפָנַי, וברכבת התחתית חמש דקות לפני המלון גנבו לה את הפאוץ' עם הדרכון מהתיק. איזה אסון! היא גילתה את זה כשהגיע למלון ופרקה את התיק, למזלה בעלת המלון אמרה לה שיש עוד תקווה, לקחה אותה מהר לתחנת הרכבת התחתית וביחד הן עברו על כל הפחים שם, ובאמת, באחד הפחים נמצא הדרכון! מסתבר שלגנבים המילנזים יש קוד של כבוד – הם גונבים רק כסף ונותנים לאנשים את ההזדמנות לאסוף את שאר הדברים מהפח הקרוב לביתם. רמת שירות גבוהה ביחס למה שהיית מצפה מאיטלקים.
אפילוג
המצב הפוליטי קשה ואיתו באות חששות ומחשבות מטרידות. אבא שלי חגג 80 שנה, עשינו סיבוב בקיבוץ אילון ושמענו סיפורים על חומה ומגדל, החיים בקיבוץ הצעיר, פינוי לילי תחת אש בגיל 6 לחיפה במלחמת העצמאות ועוד כהנה תמונות מהחיים כאן בדור ההורים שלנו. זה לא אותם הקשיים, לא אותם האנשים והעולם מאוד שונה אבל עדיין, אני מקשיב לסיפורים ומקבל פרספקטיבה שכנראה המצב שלנו לא כ"כ גרוע – כל דור והצרות שלו: מלחמות עולם, פיצוץ אוכלוסין, שואה גרעינית, שינויי אקלים, קץ הדמוקרטיות או ווירוס קטלני, כל דור עומד מול אירועים שמאיימים לסיים את האנושות. ועם זאת כל דור שורד וממשיך כדי שהדור הבא יחשוב בבוא העת שגם העולם שלו עומד להסתיים. ואנחנו, הדור שמסתכל אחורה בחשש כשאנחנו שותים מברזיה, גם אנחנו נתמודד עם הבעיות שלנו, בכבוד אני מקווה.
כמו תמיד, אנחנו בטבעון ותמיד שמחים לביקור, הכי טוב בהפתעה בלי להודיע. באמת.
La Guerre Sainte in Wadi Rum. I've been dreaming of climbing this rout for the past 15 years. Finally, this April, I finally did it!שמעון עולה את הפיץ' המפחיד. המסלול משתרע על 400 מטר אנכיים של אבן אדומה/לבנה קשה ומצויינת!הטרובדור!דקל וענבר עוברים על הלו"ז של החופש הגדול ובודקים איפה יכול להכנס עוד קצת זמן מחשב
בגדול אני לא צופה בספורט. כן, אני צופה באתלטיקה, שחיה וכמעט כל דבר אחר באולימפיאדה וגם כשיש את המונדיאל זה כייף לראות עם כולם ולהתלהב. זה מכסה שבועיים שלושה פעם בארבע שנים. אבל חוץ מזה אני לא צופה בספורט בכלל (חוץ מסרטוני טיפוס כמובן), ולכן קחו בערבון מוגבל את המחקר הבא.
אז לפני כמה שבועות הלכנו לארוחת ערב אצל אמא של עדי ובן זוגה רואה הרבה ספורט, ובדיוק צפה במשחק טניס של מישהו עם בעיות OCD קשות נגד מישהו שנפצע לקראת הסוף. דווקא די נהנתי מהצפייה וזה גרם לי לחשוב – למה בעצם? כלומר, אני לא מצליח לראות כדורגל כי זה משעמם, ניסיתי לראות בייסבול ופוטבול וזה בלתי נסבל. אז למה טניס כן?
אז השוותי כמה מדדים לענפי ספורט נפוצים:
זמן משחק אפקטיבי (כלומר, מתוך שעה של צפיה, כמה זמן בעצם יש משחק מול העיניים?)
כמה אירועים מעניינים בממוצע בדקה (מעניין זה כמובן תלוי מי אתה, אבל תזרמו איתי רגע)
כמה קל או קשה לעקוב אחרי מה שקורה
הנה סיכום המחקר בצורה וויזואלית, ציר X הוא כמה קל לעקוב, ציר Y אירועים לדקה וזמן משחק אפקטיבי מופיע באחוזים בלבן
והנה סיכום המחקר בטבלה עם מלא פרטים חשובים ולינקים למקורות המחקר. המנצחים מבחינתי הם טניס וכדורסל עם עד 30% זמן משחק אפקטיבי, בין 5-10 אירועים מעניינים בדקה וציון 8-9 ביכולת לעקוב אחרי מה שקורה.
במשחק הכדור מקבל חבטה מרקטה כל בערך 2 שניות. אז בערך 30 אירועים לדקת משחק אפקטיבית, 10 אירועים לדקה בסה"כ.
החבטה עצמה מהירה אבל יש 2-3 שניות לעקוב אחרי הכדור וזה לא קשה. יש רק שני שחקנים והם לא זזים הרבה, המגרש קטן והצילום לכן מצויין וקל להבין מה קורה. אני נותן ציון 9
כדורסל
48/150=32% בערך. משחק רשמי הוא 48 דקות + 6 פסקי זמן של 100 שניות ומחצית של 15 דקות אבל משחק ממוצע אורך כשעתיים וחצי.
במשחק ממוצע יש 250 מסירות (קצת מעניין) וכ100 זריקות לסל (יותר מעניין) לכל קבוצה. סה"כ 700 אירועים על 48 דקות משחק כלומר כ15 אירועים לדקת משחק אפקטיבית, 5 אירועים לדקה בסה"כ.
קל יחסית לעקוב אחרי הכדור במסירות ובזריקות. הכדור גדול והמגרש קטן כך שהצילומים טובים. יש לפעמים קצת בלגאן כי 10 אנשים רצים ממקום למקום. אני נותן ציון 8.
במשחק ממוצא בין 300 ל700 מסירות אבל רובן קצרות. יש גם בעיטות לשער, פאולים, קרנות אבל זה די נדיר ביחס למסירות. בואו נאמר 300 אירועים למשחק של 90 דקות אז 3.3 אירועים לדקת משחק אפקטיבית, 1.7 אירועים לדקה בסה"כ.
מלא אנשים רצים, מגרש ענק, הכדור מסתתר מאחורי סבך של אברי גוף ושידור חוזר של האירוע הוא נפוץ ע"מ להבין מה קרה. אני נותן ציון 7
במשחק ממוצע יש 145 הגשות (pitches) ועם ממוצע חבטות של 0.24 נקבל 35 חבטות מוצלחות. בואו נניח שגם התפיסה של הכדור מעניינת אז יש 145+35+35=215 אירועים של 18 דקות משחק. סה"כ 12 אירועים לדקת משחק אפקטיבית, 0.72 אירועים לדקה בסה"כ.
כדור קטן בלי ניגודיות (אי אפשר היה לצבוע אותו באדום?) על מגרש ענק. מעט תזוזה אז קל לעקוב אחרי האנשים אבל קשה לעקוב אחרי הכדור. צילומי תקריב לא משהו. אני נותן ציון 6.
פוטבול אמריקאי
5.5%. אני יודע, זה טירוף. מתוך משחק ממוצע של 3 שעות ורבע יש 11 דקות (!!) של משחק ויש 17 דקות של שידורים חוזרים והסברים על מה בעצם קרה ב-11 דקות האלו.
כל קטע משחק מהרגע שמתחילים ועד שמסיימים אורך 4-12 שניות. אין שם הרבה אירועים – הquaterback זורק את הכדור, אולי מישהו תופס, מישהו מפיל אותו. נאמר 3-4 אירועים בכל משחקון כזה כלומר אירוע מעיין כל 2 שניות או 30 אירועים לדקת משחק אפקטיבית, 1.65 אירועים לדקה בסה"כ.
טירוף לפרקים. רוב הזמן השדרני מדברים והשחקנים נחים. ואז, מלא אנשים רצים ממקום למקום, הכדור רוב הזמן לא חשוף, קודקס עבה של חוקים מעורפלים ומגרש גדול. יש יותר שידורים חוזרים מזמן משחק. ציון 3.
סייף
לא ברור איך למדוד את זה
תחרות בנויה מקרבות שאורכים עד 12-15 דקות ונגמרים כשמישהו צובר 15 נגיעות ביריב.
בלתי אפשרי. זוג אנשים בתחפושות מקפצים אחד מול השני ומנופפים להבים דקים וכמעט בלתי נראים במהירות הבזק. אי אפשר להבין מי הכה במי או מה קרה בכלל. לראיה – הקשתי ביוטיוב "קרב הסיף הטוב בכל הזמנים". לא הצלחתי לשרוד יותר מ3 דקות. ציון 1
שח
תלוי אם אתה שחקן שח או לא. אם אתה שחקן אז גם הזמן בין מהלכים הוא מעניין כי אתה מנסה לפתור את הצעד הבא.
איך מתמודדים עם מפלצות בלילה? למה השארנו קיר מהבית הישן? אילו מילים חסרות בעברית ואיך עדי ואני מתעללים בילדים שלנו? כל זה ועוד בבלוג שלפניכם, אבל לפני זה קצת מחשבות פילוסופיות
פינת השפה
יש אתר נחמד שנקרא The Dictionary of obscure sorrows או מילון התוגות הנסתרות. האתר הוא של בחור שממציא מילים שלדעתו חסרות לכל מיני מצבים בחיים שלנו. למשל – Aluasy: העצבות שאנחנו חשים כשאי אפשר להסביר זכרון עוצמתי לאלו שלא היו שם לחוות את זה. נחמד, לא?
אז אני רוצה להוסיף מילה למילון הזה – התחושה של חוסר נעימות כשנושא שעולה בשיחה משפיע על הדרך שצריך לנהל את השיחה. למשל, כשאני שואל בראיון עבודה מישהו על איך הוא מראיין וכשהוא מסביר לי איך הוא מראיין – אני עכשיו בעצם בבדיקה על איך אני מראיין אותו בראי מה שהוא כרגע סיפר לי. או כשאתה עם חבר והוא מספר לך איך חברים אמיתיים מקשיבים לך כשאתה בצרה ועכשיו ברור שאני חייב להקשיב כי כרגע דיברנו על זה. מציק כשזה קורה – נכון?! רעיונות למילה כזו בעברית? באנגלית?
והנה מילה נוספת שחסרה לי – חרדה קיומית לגבי שבירות התשתיות של העולם המודרני. אני לא יודע לייצר לבד כמעט כלום ממגוון החומרים, המכונות והאוכל בחיים המודרנים והנוחים שלי. כמות הידע והמיכון שדרוש לייצר את האוכל שאני אוכל הוא מטורף. או למשל, האינטרנט שאני תלוי בו בנוי ממיליוני רכיבים קטנים, שדרורשים ידע ומכונות מעשרות מקומות שגם תלויים בעשרות ספקים ע"מ לקבל מכונות וחלקים וכן הלאה. עד כמה הרשת הזו עמידה? מה אם היא תקרוס? זה לא מטריד אתכם? כל החיים המודרנים עומדים על קוצו של יוד ואני רוצה לזה מילה.
פינת הדברים שמטרידים אותי
יש כל מיני דברים שמטרידים אותי בזמן האחרון. למשל, מה מניע אותי? האם אני בעיקר מונע מהצורך ליצור דברים טובים או להימנע מדברים רעים? זה עניין עקרוני, כלומר, האם רוב הפעולות שאני עושה ביום מטרתן לגרום לי ולאחרים אושר או למנוע ממני ומאחרים סבל? האם אני הולך לעבודה כי כייף לי שם או האם אני חושש שאם לא אלך לעבודה אז לא יהיה לי כסף או שאני אפספס קידום? האם אנחנו יוצאים לטיול עם הילדים במחשבה שיהיה כייף או שזה נועד למנוע שהייה בבית איתם שהיא די סבל? ברור לי שזה לא אחד או השני ושניהם קיימים במידה מסויימת, אבל מה אצלי העיקר? ועוד מחשבה – אם החיים הם מין ניסוי ענקי, האם יתכן שאני בקבוצת הפלסבו? כי לפעמים נראה לי שעוברים עלי דברים משמעותיים, ואני לא מרגיש את מה שאמורים להרגיש. למשל, עברנו לבית חדש שלקח לנו שנתיים וחצי לקבל היתרים ועוד שנה וחצי לבנות. המון זמן ומאמץ, עבודה לא נעימה מול קבלנים ואנשי מקצוע, מלא פאקים, הפתעות, איחורים ובעיות. וסוף סוף עברנו לבית החדש – הוא אחלה. יפה, מרווח. ואני לא מרגיש את מה שאני חושב שצריך להרגיש במצב כזה – איפה האופוריה? הקטרזיס? איפה השלב שבו אני מנשק את המרצפות? וגם – בשעה טובה יש לי ולעדי מקלחת משלנו ואנחנו לא חשופים לתועבות של הילדים. אני עומד מתחת לטוש המפנק, ומנסה בכוח להרגיש את ההקלה שאמורה להיות שם, את הפינוק, את השקט. ואני לא ממש מרגיש משהו. פלסבו? אולי.
פינת הקריקטורה
דיכוי ילדים
לפני כמה ימים קניתי לילדים קורואסונים – אחד לכל ילד. בבית הילדים ישבו לאכול את קרואסונים ותוך כדי דיברנו על הנקודות של החופש: הנקודות של החופש היא הדרך שלי ושל עדי לגרום לילדים לעזור בבית ע"י תמריצים: על כל מטלה – לנקות את הבית, להוציא את הזבל, לערוך שולחן, לחתוך סלט – הם מקבלים נקודה. כשיגיעו ביחד ל25 נקודות יוכלו לבחור איזו פעילות לכל המשפחה כמו קמפינג, באולינג, סרט וההורים יבצעו. אז היה איזה וויכוח על הנקודות ואילון ממש התבאס שהוא לא קיבל ניקוד כמו שרצה, זרק את קרואסון הלעוס למחצה על השולחן וצעד בכעס מופגן לחדר שלו וטרק את הדלת (בבית החדש אי אפשר באמת לטרוק דלתות, יש שם מין גומי שמרכך את הסגירה. זה משגע את הילדים שאי אפשר לממש את האגרסיות בטריקת דלת עסיסית, אבל זה לא מפריע להם להמשיך לנסות). בינתיים הילדים האחרים סיימו לאכול ואני פיניתי את השולחן. כשנתקלתי בקרואסון החצי גמור, עשיתי עימו חסד וסיימתי אותו, קרואסון שוקולד בכל זאת. כעבור דקה אילון יצא מהחדר, עדיין עצוב אבל רגוע, הלך למטבח ושאל איפה הקרואסון שלו. אמרתי שאכלתי כי חשבתי שהוא כבר לא רוצה. זה כבר ממש שבר אותו, לא מספיק שהוא לא מקבל ניקוד כמו שצריך, הוא שניה מסובב את הגב ואוכלים לו את הקינוח. הוא גרר רגליים לחדר, שמוט כתפיים ובלי אפילו כוח לנסות לטרוק את הדלת שלא נטרקת. כשסיפרתי את זה לעדי היא הזכירה לי שזה דפוס קבוע שלנו – לזרות מלח על הפצעים ולבעוט בהם כשהם הכי פגיעים. למשל, כשענבר היה קטן והיה מתחיל לצעוק ולבעוט כי לא נתנו לו את הקינוח החמישי של היום, הדבר הראשון שהיינו עושים זה להוציא לו את המוצץ מהפה. המסר כאן הוא ברור – אתה מבואס וחושב שהמצב גרוע, אבל המצב עוד יכול להתדרדר, שקול את צעדייך. זה עבד כמו קסם – איך ששלפנו את המוצץ מיד הילד נרגע ומתחיל במשא ומתן: אולי נשקול איזה חצי חטיף בערב במקום הקינוח החמישי של הבוקר? זה אגב טריק שלמדתי מדולב, תודה אחי! עוד דבר שהיינו עושים זה "גמילה עם מחלה" – היינו מחכים שהילד יחלה וכשהוא עם חום ומסכן היינו מפרידים אותו מהמוצץ או הבקבוק בטענה שזה לא טוב עם המחלה. הילד גם ככה חלש ובקושי יכול להתנגד. אחרי כמה ימים כשהוא מחלים, הוא כבר בעצם כמה ימים בלי המוצץ או הבקבוק וכבר די קל להיפרד מזה. גם זה אגב עובד כמו קסם וככה גמלנו את דקל ואת ענבר מהמוצץ ומהבקבוק של הערב. בקרוב אולי נוציא גם ספר הדרכה להורים.
ענבר
לענבר יש בראש שני קודקודי גדילה – זה נראה ככה:
זה עושה לו כרבולת תמידית והוא מקפיד ללכת להסתפר "כדי להפתר מהכרבולת". אני מת על הקודקודים האלו וזה עושה לי כל מיני אסוציאציות – למשל:
והנה שיחה לקראת יום הולדת 5 שלו: ענבר: אבא, מתי נולדת? אבא: אני בחודש מאי ענבר: ואני נולדתי באפריל, נכון? אבא: נכון, אתה חודש לפני ענבר: אז אם אני נולדתי לפניך אז למה אני לא אבא שלך?
ענבר גם התחיל לפחד ממפלצות אז עדי התחילה מסורת של ספריי נגד מפלצות שמשפריצים סביב המיטה לפני השינה וזה דוחה את המפלצות. ואז, עדי נסעה לכנס בחו"ל וענבר דרש משהו חזק יותר נגד המפלצות. אז לקחתי ספריי, ציירתי מפלצת והוספתי לחש קסם תוך כדי הספריי – "אוּגַאצַ'קא אוּגַא אוּגַא, אוגאצ'קא אוגא אוגא" ועם זה ענבר הסכים ללכת לישון.
לוחמה כימית במפלצות, זה נגד אמנת ז'נבה
ראש בקיר
הבית החדש שלנו נבנה בבניה קלה – כלומר עם שלד פלדה במקום בלוקים ובטון. היתרונות העיקריים של זה אמורים להיות בידוד (באמת מבודד טוב) ומהירות בניה (לא ממש עבד אצלינו). קנינו שטח עם בית משנות החמישים ורצינו להרוס אותו ולבנות מחדש. אבל, אנחנו נמצאים על שטח שמשותף לנו ולשכנה ומסתבר שאי אפשר לעשות את זה מבלי לחלק את השטח בטאבו (פרצלציה) – תהליך שלוקח הרבה זמן וכסף. אז החלטנו "לשפץ" במקום להרוס ולבנות והמשמעות של זה היא שצריך להשאיר קיר. כן, אם אתה משאיר קיר אחד עומד מהבית המקורי זה נחשב שיפוץ. אז ככה זה נראה – לבנות בית ולהשאיר קיר אחד משנות החמישים עומד.
הבית הישןהורסים את הכל חוץ מהקירלפסל הסביבתי הזה אני קורא – אנדרטה לבירוקרטיה
הבעיה היא שאם בטעות הקיר קורס והחברה מהמועצה שומעים על זה, אז זה פתאום הבניה כבר לא נחשבת שיפוץ ואנחנו נצטרך לשלם מלא כסף ולבזבז זמן. אז ביקרנו את אתר הבניה כל יום לבדוק שהקיר לא קרס ובבניה היה צריך לשמור עליו טוב טוב. כיום יש בלוקים מקום המדינה שכלואים בתוך הבית החדש שלנו – מחכים להתפורר ולהעלם. סתם בזבוז של משאבים.
החלון החדש בקיר הישןהקיר כלוא בשלד הפלדהבונים את השלדצריך לפתוח חלון בקיר, וכבר יש יותר חורים מקיר
וככה הבית נראה היום אחרי כל הבלגאן
כלכלת קורונה
הקורונה עם הבידודים והילדים בבית כבר מאחורינו (לתמיד, אני מקווה) והנה סיפור די מטורף ששמעתי מאחי שגר בארץ האפשרויות הבלתי מוגבלות.
באחת ההתפרצויות של הקורונה שלחו את הילדים הביתה להורים וסגרו את כל בתי הספר. ההורים עדיין היו צריכים לעבוד אז חיפשו כולם מה אפשר לעשות עם הילדים עכשיו כשבתי הספר סגורים. יש בארה"ב הרבה סניפים של ימק"א YMCA, כן האלה מהשיר, ושם אנשים באים לעשות כושר וילדים באים לחוגים. אז ימק"א שנשארו פתוחים בזמן ההתפרצות, כי זו ארצות הברית, הציעו להורים חוגים לתקופת הקורונה. בלי להתבלבל שלחו כל ההורים את הילדים שלהם לימק"א הקרוב לחוגים למשך כל שעות היום, כדי שהם יוכלו לעבוד. הבעיה שעם הביקוש האדיר, מהר מאוד נגמר המקום בימק"א אז הם חיפשו מישהו שישכיר להם כיתות, והפלא ופלא – בתי הספר שנסגרו, שמחו להשאיל לימק"א את הכיתות שלא היו בשימוש. וככה מצאו התלמידים את עצמם בחזרה באותה הכיתה רק הפעם תחת חסות הימק"א. זה תהליך נהדר של כוחות השוק שמראה שחוקי הסגר על הכיתות היום מיותרים, או שהתנאים שבהם העסקים נשארים פתוחים היו שגויים. אמריקה.
איטליה
בחופש הגדול קפצנו לאיטליה והתארחנו ביאכטה של עמוס אבא של עדי. היאכטה חונה, כמה נוח, ליד נאפולי בתקופה הזו של השנה
על הדרך פגשנו חברים טובים מאנגליה ישי ומירב וטיילנו ביחד בנאפולי ובפומפיי העיר שנקברה חיים ע"י הר הגעש ווזוב ונחפרה לה מחדש. זה האתר הארכיאולוגי המרשים ביותר שראיתי אי פעם, פשוט עיר עתיקה, עם רחובות, בתים, ציורים על קירות ואפיולו גרפיטי שנשמרה כפי שהייתה לפני 2000 שנה.
עם עמוס שטנו בין האיים ולאורך החוף המהמם של אמאלפי ועד לאי קאפרי התיירותי אבל מקסים
דקל: אבא, זה המקום הכי יפה שהייתי בו בחיים! כמובן שהיו לי חיים קצרים עד עכשיו
עם כל השייט והרי הגעש ונאפולי אם תשאלו את הילדים מה הם הכי אהבו באיטליה, זה כנראה יהיה המדרגות הנעות של המטרו. זו ממש חגיגה לאוהבי מדרגות נעות, תראו מה זה
מילות סיום
עברנו לבית החדש באפריל ואנחנו כבר די התרגלנו אליו והוא אלינו. הקירות כבר לא כ"כ לבנים, הדשא עדיין ירוק, יש ערוגות ירק ויש קומפוסטר. Great Success! במשך כל תקופת הבניה אמרו לנו שכנראה לא נסיים את התהליך נשואים, אז החלטנו להנות מהזמן שנשאר לנו ביחד
בהקרנה של טופ גאן!!חוף אמלפיבפומפיי, איטליה
נשאר לצלוח את תקופת החגים ולחזור קצת לשיגרת עבודה. אם אתם באיזור, תשלחו איזה סימן, לא צריך לקבוע מראש והדלת תמיד פתוחה.
צל בנים כבנים
תמונה משפחתית נדירה שבה אף אחד לא עושה פרצוף לא סביר או תנועה מגונה. צילום של איל גורביץ' כמובן!
הפעם נגלה מה קורה אצלינו בארוחות ערב, איך מריחים רחובות בטבעון, איך לבדוק אם אתה מבוגר אחראי, איך להרשים אחרים וגם כמה דברים על שוחד וילדים. אבל קודם –
שח ארוחת הערב
בבית שלנו, ארוחת הערב היא לא סתם ארוחה – זה משחק מוחות מורכב ועדין. המטרות שלנו: להכניס ירקות (אפילו מבושלים) לבטן של הילדים, שיאכלו עם סכו"מ ושישבו בשקט. המטרות של הילדים, כמובן, הפוכות. הנה למשל אחת הארוחות:
עדי פוצחת בפתיחה הספרדית: גמבה לדקל-1 וברוקולי לאילון-1. אילון מגיב בהצרחה שכבר נמאס לו ושהוא שונא ברוקולי!! דקל מקדם ברוקולי לרצפה והצרחה של המזלג וכוס המים. כעט המרפק של דקל מאיים על כוס המים אז עדי ממשיכה לתקוף ומקדמת את המלפפונים לענבר ומרחיקה את הגבנ"צ אל מאחורי הפסטה. בתגובה ענבר תוקף את המלפפונים עם המלח שלו (כך שכבר לא ניתן לאכול אותם) ונוגס חצי מהגבנ"צ.
במקביל דקל שולח יד לגבנ"צ, בדרך מכה את ענבר על פ-1 ושופך את כוס המים. כעת ענבר צורח ודקל רטוב. עדי מגיבה עם הגנה ומגניבה מגבת לד-5, מוצץ לע-2 ומרגיעה את המצב. אורן מקדם עגבנייה לצלחת של דקל. דקל טוען להפרה של החוקים כיוון שאי אפשר לאכול את זה עם מזלג, אורן קם ומביא כף, בינתיים דקל סוחט את העגבנייה לצלחת של אורן ובדרך מורח את החולצה בטחינה. כעת על הלוח יש להורים שלוש צלחות, צלוחית וחמש כוסות (כך שיש לנו יתרון בכלים) אבל לילדים יש את כל המזלגות, הסכינים והכפיות (כך שיש להם יתרון של מיקום, וגם סכו"מ). ממשיכים… אורן מאיים עם השעועית על הצלחת של דקל. אילון מגיב בבעיטה לרגל של אורן, שמפספס את הצלחת ומפיל את השעועית לתוך הסלט. כעת דקל הוא דרקון יורק אש ורוק, אילון מצטרף בנהמות וענבר קופץ מהכיסא ונופל על הרצפה (כל כמה ימים ענבר נופל מאיזה כיסא, חוטף מכה בראש, שוכח שזה קרה וחוזר חלילה). אנחנו מגיבים בבקשות רגועות לסדר ומעט אח"כ עם איומים על שעות טלוויזיה, אי קבלת קינוחים ואפילו הגבלה של שעות סיפור. ענבר בינתיים חוזר לכיסא ומתחיל לאכול פסטה אבל רואה את אילון מאזן שתי קוביות קרח על האף והוא רוצה גם. דקל עובר לשיר את "שבט אחים ואחיות" בקולי קולות תוך שהוא שח אל מתחת לשולחן, מנסה לקום, דופק את הראש ומחליף שיר. לבסוף ענבר משלח פסטה לעין של אורן, דקל שופך שוב מים על המכנסיים של עדי, אילון תופס את המלח שלנו וההורים נכנעים.
פט לחם
הריח של ביאליק
הילדים שפטורים משנים של מוסכמות חברתיות, אמרות שפר ובעיקר מהמועקה של מורכבויות העולם, מספקים לנו שוב ושוב תובנות על החיים וגם כמה קטעים די מצחיקים. מדובר באילון (9), דקל (6) וענבר(4):
[דקל] אבא, למה כתוב בשלטים "ריח ציפורנים" או "ריח שושנים" – מה, הם יודעים איזה ריח יש כאן? [אילון] דקל זה לא ריח זה רח' – "רחוב ציפורנים" ו"רחוב שושנים", מה, נראה לך שכתוב "ריח הרצל" או "ריח ביאליק"? [דקל] איכככססס – ריח ביאליק.
לילדים יש כל מיני מחשבות של איפה הייתי ומה עשיתי לפני שבעצם הייתי…
[דקל שואל את עדי] אמא, לפני שהכרת את אבא קראו לי דקל רדיאן?
[דקל] אני נולדתי במינוס 18 מעלות! במינסוטה! אתם יודעים כמה זה קר?? [ענבר] כן, אבל כשאתה נולדת והיה ממש קר, אני שחיתי לי בכייף במים החמים בבטן של אמא. [דקל ואילון] מה פתאום, אתה עוד לא הייתה בשום מקום. [אילון – מסביר בסבלנות] תראה ענבר, הזרע של אבא והביצית של אמא נפגשים בבטן של אמא וככה נוצר תינוק. אתה בשלב הזה הייתה אולי ביצית וזרע. [ענבר חושב וחושב..] רגע רגע… אז אמא בלעה את הזרע?! איך בדיוק מגיע הזרע לבטן של אמא?
וגם ענייני חיים ומוות שמעסיקים את דקל: לעדי הייתה סבתא שקראו לה סבתא איילה – דקל מנסה לברר מה גורל שאר המשפחה:
[דקל] אמא – סבתא איילה מתה, נכון? [עדי] כן חמוד, זה נכון. [דקל] ומה לגבי סבא איל? הוא עוד בחיים? [עדי] מי זה סבא איל? [דקל] הזכר של סבתא איילה!
בסגרים העברנו את הזמן בכל מיני דרכים, אחד מהם היה קיפולי נייר. באחת הפעמים עבדנו אני אילון ודקל על קיפול של ציקדה:
[אורן] טוב, לפי הסרטון צריך לקפל כאן את הכנף ב90 מעלות [אילון] אבא, נו באמת, לדקל אין שיעורי גיאומטריה, הוא לא יודע מה זה 90 מעלות! [דקל] אבא, זה נכון! בשבילי 90 מעלות זה ממש ממש חם!
אילון כמעט ולא אוכל אבל איכשהו הולך וגדל. עדי ואני אומרים שהוא גובהה ברעב (סטאגאדיש!)
קצת נחת מהילדים
יש להורים קטע כזה שכשהילד אומר משהו חמוד, לא חמוד אובייקטיבית אבל משהו שהם חושבים שהוא חמוד, ואף אחד לא שם לב (כי כולם עסוקים בילדים שלהם), אז הם חוזרים בקול אחרי מה שהילד אמר כדי שגם האחרים יתרשמו: "מה חמודי (בקול רם מדי), אתה רוצה מרשמלו כי זה עשוי מעננים?" או "מותק שלי, את נותנת לארנבי-נבי קטן שלך לאכול גזר גמדים?" וזה נאמר עם חיוך הורי מבין וגאה, ולפעמים מוסיפים איזה הסבר קצר – "גזר גמדים (חי, חי, חי)" לוודא שהסובבים קיבלו את מלוא האפקט.
לפני שהיו לי ילדים, חשבתי שזה מביך ומגוחך. עכשיו כשיש לי ילדים אני עדיין חושב שזה מביך ומגוחך. אבל – מה אפשר לעשות, זה חזק ממני. לפעמים הילדים אומרים כאלו דברים חמודים, שזה בזבוז שאף אחד לא מקשיב לחמידות, שלדעתי היא בערך ברמה של קיפוד קטן רוקד. נאמר והייתם במגרש משחקים ופתאום אתם רואים קיפוד קטן רוקד, לא הייתם מפנים את תשומת הלב של כל שאר ההורים במגרש? "תראו! קיפוד חמוד רוקד!", הייתם בוודאי אומרים וזה היה נשמע לגמרי סביר. אז ככה אני מרגיש. אבל זה ממש מגוחך.
Everybody dance now!
מבוגר אחראי
לפעמים אנחנו מחפשים מבוגר אחראי שישמור של הילדים, וזה גרם לי לחשוב – האם אני מבוגר אחראי? ומה אני יותר – מבוגר או אחראי? אז החלטתי לבדוק. הנה הגרפים של כמה אני מבוגר לפי שנים, של כמה אני אחראי לפי שנים ביחידות של בני-אדם (כלומר לכמה אנשים אני מסוגל להיות אחראי) והגרף של היחס.
כמה דברים מעניינים שאפשר להבין מהגרפים: – במשך הרבה שנים לא הייתי מספיק אחראי לטיפול באדם אחד, כלומר בעצמי, ויש ראיות לכך – כשנולד הילד הראשון כבר הייתי מוכן לשלושה – את מקסימום האחריות לבגרות כבר עברתי, מעכשיו אני יותר ויותר מבוגר אבל לא יותר מבוגר אחראי
Party Tricks
אתם רוצים להרשים אנשים אחרים? כבר מזמן גיליתי שאני משקיע מאמץ ניכר במציאת דרכים להרשים אנשים וזה לא פשוט. עם זאת, מצאתי שיש דרכים טובות יותר ודרכים טובות פחות. הדרך האידיאלית היא למצוא משהוא שקל מאוד ללמוד ומאוד מרשים. הדרך הגרועה ביותר הוא משהוא שקשה מאוד לבצע ולא מרשים בכלל. הנה לכם השוואה כמותי בין דברים על צירי (קושי, מרשימות).
(2,1) גלגלון: קל ללימוד ולא מרשים בכלל אלא אם כן אתה בן 4. או מהנדס. (7,10) התעמלות אולימפית, פסנתרנית קונצרטים: נורא קשה ללמוד, שנים של אימונים מפרכים ולבסוף זה באמת די מרשים אבל אפילו לא קרוב לכמה שזה היה קשה ללמוד. (1,10)שינון כל כתבי אפלטון וציטוטם ברוורס: כמעט בלתי אפשרי לביצוע ואף אדם נורמי לא מסוגל לסבול יותר מדקה מזה. (7,3) קיפולי נייר: זה ממש מגניב ויחסית קל ללימוד וביצוע. (9,3) סידור קוביית רוביקס: יש סדרה קבועה של מהלכים שמביאים אותך מכל מצב לקובייה מסודרת. כמה שעות ללמוד את המהלכים ועוד כמה ימים להתאמן וזהו. סידור הקובייה נתפס כמשהו שבין גאונות לקסם. (8,4) להכיר בעל-פה את כל היסודות והקיצורים שלהם: יש פחות ממאה יסודות כימיים על כדור הארץ וכמות המידע שצריך לשנן קטנה מזו של תפקיד במחזה קצר. עם זאת, בגלל שאלו היסודות הכימיים ולא טקסט של מולייר, זה נשמע ממש מתוחכם וגם, יש נטייה לבלבל בין ידע להבנה ולכן מניחים שאם אתם מכירים את שם היסוד אתם בוודאי גם יודעים מה התרכובות שהוא יוצר, ממה בונים חלליות, איך מיקרוגל עובד ומאין באים ילדים לעולם. (3,9)מומחה לחיי מין של שפני סלע או מתמטיקאי שמתעסק בהילוכים אקראיים: שנים של לימוד ועבודה וחוץ מעמיתיך לתחום וקומץ מעריצים, אתה לא מוערך מספיק, פשוט כי אף אחד לא באמת מבין מה אתה עושה. (5,5) גידול ילדים: די קשה, די מרשים ויש תקופה שהם חמודים. מי שיש לו ילדים יודע להעריך אז בסה"כ משתלם.
גם טיפוס זה די מרשים, וגם ממש ממש כייף, אז כדאי להשקיע
מתי לשחד ילדים
לפעמים אנחנו רוצים שהילדים יעשו משהו, והם לא רוצים. זה קורה, למעשה, די הרבה פעמים. יש דברים גדולים, כמו לדבר בכבוד להורים, ודברים קטנים כמו לאכול עם סכין ומזלג. יש ללכת לחוגים, לסדר את החדר ועוד מלא חובות שאנחנו מצפים שהילדים פשוט יעשו, בלי שצריך אפילו להזכיר להם אבל כמובן שלא כך קורה, ואני תמיד מתלבט – מתי זה סביר להציע איזו תמורה כדי שהם יבצעו את המטלה? נראה לי סביר למשל להציע לילד שאם רק יסיים את השיעורים היום, אז יהיה לנו זמן להקשיב לפודקסט על אלכסנדר מוקדון אבל לא סביר להציע לילד כסף כדי שלא יקלל אותי. אבל הרי גם זה וגם זה מין שוחד, אז מה בעצם ההבדל?
כדי לנתח את הבעיה, נסתכל על שלושה מדדים:
האם מה שהילדים מתבקשים לבצע הוא חובה או שזה רק יהיה נחמד אם הם יעשו את זה?
האם התמורה היא חומרית או רוחנית?
האם הביצוע מותנה בתמורה?
מה חובה ומה לא תלוי כמובן בהגדרה של ההורים. יש כאלו שנגינה בכלי היא חובה ויש כאלו שאצלם זה לא. כנ"ל עם לדבר יפה, לסדר את החדר או לשמור על האחים הקטנים בחיים. עם זאת, נראה לי סביר שככל שהפעילות היא יותר חובה, ככה אתה מכוון לכך שהילדים יעשו את זה תמיד, וללא תמורה. תמורה חומרית היא למשל כסף, צעצועים או שוקולד ותמורה רוחנית למשל פעילות משותפת עם ההורה או מילה טובה. ביצוע מותנה בתמורה הוא מהסוג "אם תעשה… אז תקבל…" וביצוע לא מותנה הוא אם לאחר המעשה יש לפעמים תמורה אך זו לא הובטחה מראש: "כל הכבוד על סידור החדר, את היית היום על הכייף כייפאק!"
הנה טבלה שמסכמת את האפשרויות וסימנתי בערך את מה שנראה לי סביר (ירוק) ולא סביר (צהוב).
מה החלוקה שלכן/ם?
כמובן שזה לא כ"כ פשוט. לדבר יפה להורים זה לא חשוב כמו לצחצח שיניים למרות ששניהם חובה (לדעתי) וגם בין כסף לבין שוקולד יש הבדל ולא לגמרי ברור לי איך לסווג זמן משחקי מחשב . ומה אם הילד רוצה להרוויח דמי כיס? ניקיון הבית או שמירה על האחים הקטנים יכולים להיות דוגמא של לא-חובה עם תמורה מותנת שדווקא נראה לי סביר. ולבסוף – על חלק מהדברים לא נותנים כל תמורה כי מאיזשהו גיל מה שצריך לעשות עושים וזהו, או שעלולים לגדול לאנשים מבוגרים שמופתעים כשהם לא מקבלים תפיחה על השכם על כל דבר טוב שהם מבצעים. כמוני למשל.
סיום
Crepuscular Rays הם פשוט קרני השמש שרואים מבין העננים בזמן השקיעה, אלו שנראים כאילו באים מנקודה אחת – השמש.
את זה כולם מכירים – קרני השמש למעשה מקבילות אבל נראות כאילו מגיעות מנקודה אחת, כמו פסי רכבת באופק. מה שלא כולם מכירים זה את גרסת האנטי שלהן שנקראת Anticrepuscular Rays אלו אותם הקרניים אבל שמתרחקות לאינסוף ונראה אותן כשהגב מופנה אל השמש ויש תנאים מיוחדים באופק ממול שמדגיש את הקרניים המתרחקות. גם כאן, הן בעצם מקבילות אבל נראות כאלו הולכות ונפגשות בנקודה אחת באופק. לפני המון שנים ראיתי תמונה של כאלו באיזה ספר מטאורולוגיה ישן ומאז אני מחפש אותן עד שלבסוף, לפני שנה תפסתי כאלו כאן בטבעון, ועוד בתוך קשת!
רואים? רואים? אפילו סימנתי עם חיצים. זה אולי לא נראה כמו משהו מיוחד, אבל אני מחפש כאלו כבר שנים
כמו תמיד, מוזמנים לבוא לבקר אותנו, אוהבים – האיש-עמים.
התעודדו חברים! עוד יכול להיות (וגם יהיה) יותר גרוע
בעוד אנחנו יושבים לנו בכסא הנוח (שתוכנן בשוודיה, יוצר בסין עם חומרים שיובאו מכל העולם) עם סרט טוב בנטפליקס (שירות סטרימינג שחי בענן חישוב ערטילאי אי שם) ורובוט (עם מיטב הבינה המלאכותית) מנקה לנו את הרצפה, מלכי העולם, אלופי הטכנולוגיה, בא לו ווירוס קטנצ'יק ומוריד את האנושות לברכיים. איך עם כל הטכנולוגיה: כורים גרעיניים, חלליות, אינטרנט, המיקרוגל פור קרייסט סייק! איך עם כל השליטה הזו אנחנו לא מצליחים להעיף את הנגיף הזה קיבינימט??!
המשבר העולמי המשעמם בכל הזמנים, אי אפשר לעשות מזה סרט…אולי הצגה
אז מסתבר שאנחנו לא מלכי העולם כמו שאנחנו חושבים, ויש עוד הרבה שאנחנו לא יודעים ואת זה כדאי לזכור טוב טוב. ואם אתם חושבים שקורונה זו צרה, חשבתי לעודד אתכם עם צרות גדולות יותר שאיתן האנושות תצטרך להתמודד במוקדם או במאוחר. כן, כן – דברים קשים שבוא יבואו לפתחינו ואנחנו לא נהיה מוכנים. רגע, רגע… למה שלא נהיה מוכנים?? תקראו עד הסוף ותראו. תהנו!
סופות שמש
השמש שלנו משפריצה מדי פעם גז לוהט ושאר חלקיקים לחלל בתופעה שנקראת התפרצות סולארית. אם יוצא וכדור הארץ נמצא מול אותה התפרצות אז שטף של חלקיקים טעונים פוגע באטמוספירה שלנו מה שמייצר זרם במעגלים חשמליים ויכול לגרום לשיבושים בתחנות רדיו, לוויינים, וקווי מתח.
מדי פעם מגיעה אחת ממש ממש חזקה: בראשון בספטמבר 1859 הכתה סופה אדירה בכדור הארץ וגרמה לזוהר הצפוני לזהור בקו המשווה כ"כ חזק שאפשר היה לקרוא עיתון לאורו באמצע הלילה. היא גם שרפה קווי טלגרף – באותה תקופה הדבר החשמלי היחיד בשימוש נרחב. סופה כזו אם תכה היום, סביר שתצלה את הלוויינים שלנו (כולל כמובן תקשורת וג'י-פי-אס), תפחם מחשבים ברחבי העולם, תשתק תחנות חשמל ותקרקע מכוניות ומטוסים. זו תהיה קטסטרופה אמיתית. זו לא שאלה של האם אלא רק מתי.
אז ככה זה עובד? אההה, הבנתי
מה אפשר לעשות? אפשר למגן תחנות כוח וקווי מתח גבוה ואפשר להציע דברים מופרכים כמו הנחה של לולאת מתכת ענקית בינינו לשמש. הנה דו"ח מקיף לגבי איום סופות שמש לתשתיות החשמל בארצות הברית שם צופים שעשרות מיליוני איש יישארו ללא חשמל למשך שנים! מה נעשה בפועל ע"מ להתמגן מכזו קטסטרופה? לעניות דעתי כמעט כלום.
חילופי קטבים
לכדור הארץ יש שדה מגנטי שנוצר מזרמים בגרעין הכדור שעשוי מברזל.
שימו לב שהקוטב המגנטי לא מיושר עם ציר הסיבוב וכדי ממש לבלבל, הקוטב הדרומי המגנטי כרגע נמצא בצפון. אבל אל תדאגו, בקרוב זה יסתדר. או שכן תדאגו. תלוי
מה שאולי לא ידעתם זה שהשדה מתהפך כל בערך חצי-מיליון שנים, כלומר הקוטב שבצפון (הגיאוגרפי) עובר דרומה וזה שבדרום – צפונה (זה לא שאוסטרליה פתאום עוברת צפונה, זה רק שהמצפן מצביע פתאום הפוך). החילוף האחרון קרה לפני 780 אלף שנים ומאז השדה יציב פחות או יותר עם כמה חילופים קטנים בדרך.
לא, זו לא מפלצת הספגטי. לפי מקורות זרים, ככה נראים קווי השדה בזמן היפוך. כן זה ממש בלאגן, פלא שזה אי פעם מסתדר
זה יותר מרשים במציאות…טוב זה סלע, למה ציפיתם?
אצלינו בארץ יש אתר בגולן שבו סלעי בזלת שהתמצקו כשהשדה היה הפוך והם שומרים את השדה ההפוך בתרכובות ברזל בתוכם!
בעשרות השנים האחרונות השדה שלנו נחלש וגם הקוטב המגנטי נודד במהירות מסחררת – כ50 ק"מ כל שנה! כל זה גורם למומחים להעריך שאנחנו על סף חילופי קטבים, שאז השדה המגנטי נחלש מאוד ומתהפך בתהליך שלוקח בין מאה לכמה אלפי שנים. הבעיה היא שהשדה המגנטי מגן עלינו מדברים כמו סופות שמש (שהורסות תשתיות חשמל) וחלקיקים אנרגטיים (שגורמים למוטציות וסרטן).
איזה שדה מגנטי חזק! השמש מכה בו והוא לא נסדק. קצת נמעך, קצת נמתח, אבל הוא לא מתרכך… אלא אם במקרה הוא בדיוק מתהפך
שימו לב איך הקוטב המגנטי זז ביחס לקוטב הגיאוגרפי, אולי בגלל זה לא הצלחתי בניווטים
בעידן הדיגיטאלי חילוף כזה עלול לגרום לבעיות בתשתיות החשמל, ניווט ועוד דברים שבככל לא חשבנו עליהם. מה ניתן לעשות? בטח די הרבה, החל ממחקר מעמיק על אילו תשתיות רגישות לכזה חילוף ועד ההשפעות על חיות ואנשים. משם אפשר לתכנן אסטרטגיית הגנה. האם משהו נַעֲשָה מחוץ לאקדמיה? אני מהמר שלא.
תקופות קרח ושאר ירקות
גם בלי עזרתו של האדם, האקלים (מזג האוויר ארוך הטווח) אינו יציב ומשתנה – ממצב שבו כל הכדור חם ומהביל ועד מצב שבו כל הכדור קפוא. בימינו, שינוי קיצוני באקלים ידרוש יותר מהצטיידות בנייר טואלט ואלכו-ג'ל כדי לשרוד אותו. למשל, מסתבר שמדי פעם (יש כל מיני גורמים) מתקרר כדור הארץ וחלק גדול ממנו מתכסה בקרח.
הא! לא לזה התכוונתי. רגע… "מפה של עידן הקרח" … אוקיככה הגלובוס נראה עד לפני 15,000 שנים. הרבה מהנופים הכי מוכרים בארה"ב נוצרו בתקופה הזו ויש כמה כיפות קרח בארגנטינה ובאיסלנד שנשארו מאז
בכל תקופת קרח כזו יש תקופות קרות יותר שבהם קרחונים נודדים לכוון המשווה ותקופות חמות יותר שבהם הם נסוגים (התקופות כנראה תואמות שינויים בסיבוב כדוה"א סביב השמש). למעשה, אנחנו כעת בתקופת קרח שכזו שהתחילה לפני כ 2.5 מיליון שנים וממש בתוך אחת מהתקופות ה"חמות" שהתחילה לפני 12 אלף שנים. התקופה החמה שלנו אמורה להיפסק עוד 50,000 שנים אבל ההשפעה האנושית שמנוגדת להתקררות כל כך גדולה שלא בטוח שזה יקרה.
אנחנו כ"כ רגילים שהקטבים קפואים שמעניין לחשוב שמחוץ לתקופות הקרח (רוב הזמן עד כה) כדור הארץ נטול קרח, גם בקטבים.
כמובן שכל הקרח הופך למים וככה תיראה ארה"ב כשאין קרח בקטבים. נאבד את פלורידה – לא אסון גדול. אבל חבל על הדובים הלבנים הם היו די חמודים
ובתקופת הקרח החמורה ביותר הכדור שלנו היה לבן לגמרי – כדור שלג.
דמיינו עולם שיש בו רק אולימפיידת חורף! איך אפשר לשרוד כזה דבר?
אבל לא צריך לחכות עשרות אלפי שנים כדי לראות שינוי אקלימי קיצוני, יש כאלו כל הזמן. למשל עידן הקרח הקטן לפני כמה מאות שנים, הקריסה של סוף עידן הברונזה לפני כ 3000 שנה (כנראה בגלל תקופת בצורת קיצונית) ותקופה קרה במיוחד לפני כ 8000 שנה. אגב, את כיבוש הארץ בידי אבותינו אנו כנראה חייבים לקריסה של התרבויות החזקות באיזור בסוף עידן הברונזה כך שלא הכול לרעה (ממליץ מאוד לשמוע פרקים בנושא כאן, כאןוכאן). ולמרות שההתחממות הנוכחית מדאיגה (1-2 מעלות במאה שנים האחרונות) היו דברים מהירים בהרבה, למשל עליה של 8 מעלות ב40 שנה (לפני 11 אלף שנים) כפי שאפשר לראות בקידוחי קרח בגרינלנד וזה ללא השפעת אדם (אולי משינויים בזרמים באוקיאנוס). מה ניתן לעשות? למשל אפשר למפות אילו חלקים מחיינו יושפעו מעלייה של טמפרטורה או ירידה שלה ולהשקיע במחקר ופיתוח. אפשר לצפות לתקופות יבשות ולשפר טכנולוגיות לשינוע, התפלה וסינון מים ואפשר לפתח זנים של צמחים שצריכים פחות מים. היתרון ששינויים כאלו קורים די לאט ויש זמן להגיב. אולי.
מטאוריטים
מדי פעם, מה לעשות, השמיים נופלים עלינו. כלומר לא ממש השמיים אלא סלעים, חלקם די גדולים – שאריות מכוכבי לכת שהתרסקו או ירחים שלא צלחו ומדי פעם מצטלבות דרכם בדרכינו.
ג'יפ! שתדעו, זו המשאלה הכי משתלמת שאפשר להספיק לבקש עד שהכוכב נעלם. אחרת זה לא יתגשם, אלו החוקים
למעשה כדור הארץ כל הזמן סופח חומר מהחלל שסביבו, כמו שואב אבק ענק – כ 40,000 טון בשנה, אבל הרוב הוא אבק או חלקיקים בגודל גרגר חול. אלו פוגשים אותנו במהירות אדירה, בערך 20 ק"מ לשנייה (מהירות לוע של רובה סער היא 1 ק"מ לשנייה), החיכוך עם האוויר שורף אותם והם שמאירים את שמי הלילה בתור כוכבים נופלים ולא מגשימים משאלות. אבל יש גם דברים יותר גדולים שמסתובבים בחלל וכשהם פוגשים אותנו הם יכולים לגרום לדי הרבה נזק. סלע בקוטר של 50 מ' יתפוצץ מעל הקרקע בעוצמה של פצצת מימן גדולה וסלע בקוטר של 500 מ' יכול לשטח את מדינת ישראל. ויש גם כאלו בגודל של כמה קילומטרים.
ב2013 התפוצץ סלע בערך בגודל של אוטובוס מעל רוסיה עם אנרגיה של פצצה אטומית קטנה.
ב1908 התפוצץ משהו בגודל של בניין רב קומות באזור נידח בסיביר (למה זה תמיד באזור נידח? ולמה תמיד רוסיה??) במה שמכונה "אירוע טונגוסקה" ושיטח שם 2000 ק"מ רבוע של יער. האיזור כ"כ מרוחק שרק ב 1927 הגיעו מדענים לחקור ועד היום לא בדיוק ברור מה קרה שם.
אירוע כזה שבו נופל משהו שיכול למחוק נאמר, את פריז, קורה אחת ל 1000 שנים ולעיתים יותר נדירות, (אחת ל 500,000 שנה), נופל משהו גדול הרבה יותר שיכול לשנות את האקלים של כדור הארץ (טבלה של חומרת אירועים ותדירות).
Gosses Bluff Crater – Australia
Meteor Crater – Arizona, US
Pingualuit crater – Canada
Wolfe Creek Meteorite Crater – Australia
מטאוריט כזה מפורסם לפני 66 מיליון שנים שם קץ לשלטון הדינוזאורים בכדור הארץ ופינה מקום לחבורת יונקים קטנים ומפוחדים שיום אחד יקחו פיקוד, כך שלא הכול לרעה.
אז מה ניתן לעשות? ממממ…. זה תלוי.
קודם כל צריך לדעת שמשהו הולך לפגוע בנו. יש היום כמה פרוייקטים שסוקרים את השמיים וממפים את כל העצמים שמסתובבים סביב השמש ועלולים לפגוע בנו. לכל אחד כזה בונים מפה של המסלול ומחשבים הרבה שנים קדימה אם הוא יקפוץ לביקור. אבל המיפוי אינו מושלם ומתמקדים בסלעים בגודל 140 מטר ומעלה. לכן עדיין רוב הסלעים (הקטנים) שפוגעים בכדור הארץ פוגעים ללא הזהרה או עם אזהרה קצרה (ב 2008 הצליחו לראשונה לחזות פגיעה של מטאוריט, סלע בגודל 4 מטר – 19 שעות לפני שהוא פגע).
הכי גרועים הם כוכבי השביט: אלו גושי קרח וסלע שמופיעים פתאום, שורקים דרך מערכת השמש ונעלמים כלא היו.
ב1994 צפו אסטרונומים בשביט יהודי בשם שומכר-לוי, שהיה אמור להקיף את השמש אבל במקום זאת התרסק על צדק עם פיצוץ שהיה מחרב חלקים נרחבים מכדור הארץ. צדק ספג את זה בכבוד אבל המסר היה ברור – זה יכול לקרות גם פה.
השביט עבר קרוב מדי לצדק וכוחות הגיאות פירקו אותו לחתיכות. ככה הן נראו מטלסקופ החלל האבל
צדק מוכה! חבורה שהשאיר אחד החלקים שהתרסק על צדק
איזורי הפגיעה בצילום חום, אפשר לראות איך החלקים התרסקו בשרשרת
עם שביטים ההתרעה יכולה להיות ממש קצרה – שנה או שנתיים (רואים אותם לראשונה כשהם חולפים ליד שבתאי בדרך לשמש).
אז מה אפשר לעשות תוך שנה או שנתיים (בעצם הרבה פחות כי החללית צריכה להגיע ולפגוש אותו באמצע הדרך)?
כרגע – כלום, אנחנו ממש לא מוכנים לאתגר כזה. נעשה לא מעט מחקר על מה אפשר לעשות ויש שלל טכנולוגיות מגניבות (על מצגות ופוסטרים) למשל פיצוץ גרעיני שיסיט את הסלע או יפרק אותו, הצמדה של רקטות לשינוי מסלול, הקרנה של אור שמש ממראה גדולה, חיבור מפרש סולארי ועוד ועוד. במקרה הטוב פרויקט בסדר גודל כזה ייקח 5-10 שנים לפתח ולשגר והחללית צריכה עוד לפחות כמה שנים בחלל להגיע למרחק שבו אפשר להסיט את הגוף. לא פרקטי.
כרגע האנושות עסוקה בלייצר סרטים גרועים עם אפקטים מרהיבים שנותנים לנו תחושה שיהיה בסדר. אני אתן לכם תקציר: ארמגדון: עדיף לאמן קבוצת קודחי נפט משוגעים להיות אסטרונאוטים מאשר לאמן אסטרונאוטים לקדוח. דיפ-אימפקט: כל ילד עם טלסקופ יכול לראות את סוף העולם קרב, אבל יכול גם להתחמק אם יש לו אופנוע וחברה.
מצד אחד הסרטים גרועים, מצד שני הם עושים יופי של פרסומת לתופעה. כנראה שיש פרוייקטים שמנסים לטפל בבעיה רק בזכות הוליווד ואכן יש התקדמות, ב 2021 ייצא לדרך ניסוי ראשון בהסטה של אסטרואיד ממסלולו – ראו כאן.
יש גם צד אפל ליכולת הסטה של אסטרואיד ממסלולו: כמו שאפשר למנוע התנגשות אפשר גם ליצור כזו. קחו חללית ושגרו אותה למפגש עם איזה סלע גדול בחלל ועכשיו דחפו אותו בעדינות כך שבעוד כמה שנים ינחת בדיוק במרכז מוסקבה עם יותר כוח אש משהאנושות יכולה לחלום עליו. איך זה בתור נשק יום הדין? ליד זה, פצצות גרעין נראות כמו פיצוחים ולכן, יש שקראו דווקא לא לפתח טכנולוגיה כזו אלא כשחייבים. רק שאז אין זמן. בעיה.
מגה התפרצויות געשיות
פעם הלכתי לראות לבה זורמת עם חבר, בדרך התזנו מים מהמימיה על הסלע הבא בדרך, אם הם מיד רתחו ניסינו סלע אחר עד שמצאנו אחד שאפשר לדרוך עליו. היה מדהים
אז הרי געש מתפרצים מדי פעם, זה מאוד פוטוגני, די מסוכן וכנראה לא משפיע עליך הקורא, אלא אם כן אתה גר בפומפיי (טיפ של אלופים – תברח הכי מהר שלך ואז תגביר).
אבל גם כאן, מדי פעם יש אירועים שאנחנו עוד לא נפגשנו בהם ואלו מגה-התפרצויות ויש שני סוגים:
סוג אחד הוא פשוט הר געש ממש גדול וחזק. יש כמה כאלו ידועים בעולם, המפורסם שבהם מנמנם מתחת לפארק ילוסטון בארה"ב.
זה בעיקר מדינות של רפובליקאים אז, אהה, אתם יודעים, אולי לא חייבים לעשות משהו
אלו סתם מעיינות חמים בפארק אבל נראים ממש כמו הר געש אז שמתי אותם כאן
התפרצות כזו תשחרר כמות דמיונית של אפר וחלקיקים לאטמוספירה שיחסמו את אור השמש ויגרמו להתקררות, רעב ושאר צרות. ב 1815 התפוצץ הר טמבּורה באינדונזיה בשנה הידועה כ"השנה ללא הקיץ", ב1783 התפרץ הר הגעש לאקי באיסלנד, אפף את צפון הכדור בעננה רעילה וחיסל רבע מהאוכוסיה באי. לפני 75,000 שנה (ממש לא מזמן אם אתה גיאולוג) התפוצץ הר טוֹבּה באינדונזיה וגרם להתקררות של 5 מעלות למשך 10 שנים (שזה המון!) וההשפעות שלו הורגשו עוד 1000 שנים אחר כך.
סוג אחר של מגה-התפרצות היא זרימה של המון המון לבה מתוך הכוכב החוצה. מסתבר שזה קורה מדי פעם ויכול להשפיע משמעותית על האקלים. לפני 250 מיליון שנים נפתח צוהר באדמת סיביר (הרוסים האלה, מה הקטע?!) וארבעה מיליון ק"מ מעוקב של לבה עלתה לה ממעמקי האדמה ונשפכה החוצה. מדהים. מסיבות שלא לגמרי ברורות זה גרם לכוכב לרתוח, טמפרטורת הים עלתה ל 40 מעלות וכמעת כל החיות על הכוכב נכחדו בתקופה שידועה בתור ההכחדה הגדולה.
אולימפוס מונס, הר הגעש הגדול של מאדים הוא כ"כ גדול שאם אתה עליו אתה בכלל לא יכול לראות שאתה על הר, ואם אתה על מאדים, אי אפשר לראות שמולך יש הר כי הוא כ"כ גדול.
הר הגעש הגדול במערכת השמש נמצא במאדים – אולימפוס מונס. גובהו 27 ק"מ קוטר הלוע 70 ק"מ ועומק הלוע 2 ק"מ בערך כגובה החרמון
אז מה אפשר לעשות? בגדול ראה ערך "שינויי אקלים" למעלה. בקטן – כלום, לשבת בשקט, לסבול ולחכות שזה יעבור.
ווירוסים ושאר חולייראעס
מה, חשבתם שאם כבר יש קורונה אז לא נדבר על זה? באמת…
גם כאן יש לנו נתונים די טובים על מה האנושות עברה בכמה אלפי השנים האחרונות. מגפות הדֶבֶר שחיסלו שליש מאוכלוסיית אירופה, אבעבועות שחורות, כולרה ועוד ועוד… הפעם האחרונה שמשהו כזה הכה בקנה מידה עולמי היה ב 1918 בשפעת הספרדית. אפשר (וצריך, למרות שזה לא נעים) לדמיין נגיף כמו הקורונה, שמאוד מדבק, עם תקופת דגירה ארוכה, בלי טיפול יעיל ועם, נאמר, 50% תמותה. מה נעשה אז?
כדאי לחשוב על זה ולהתכונן עם מערך גלובאלי משומן של זיהוי התפרצויות והתראות, סגירה יעילה של גבולות עם בדיקות מהירות ומיגון מתאים. אפשר גם לדבר על גוף עולמי של מחקר ופיתוח שכל המדינות תורמות לו כסף וכוח אדם שנכנס לפעולה במקרים כאלו במקום שכל מדינה תנסה לבד. גם לא יזיק מערך מסודר של שיתוף מידע רפואי.
אבל אבל אבל… למרות שההשקעה קטנה והתועלת גדולה, קשה לשמור על כוננות לאורך עשרות שנים, דור הילדים שלנו יזכור במעורפל והנכדים כבר לא יחשבו על זה בכלל.
סיכום
הבעיה המרכזית של כל הסיפור היא שיש לנו זיכרון קצר בשני מובנים:
מצד אחד, ההיסטוריה האנושית הכתובה קצרה נורא. אנחנו יודעים ממחקר מדעי על תופעות שיכו בנו בעתיד, אבל כיוון שהאנושות האוריינית עדיין לא חוותה אותן הרי אין להן מודעות אלא אם כן עשו על זה סרט.
מצד שני, גם מה שכתוב בספרי ההיסטוריה לא בוער כמו בעיות יומיומיות ויהיה קשה למצוא את הפוליטיקאי שיקום ויאמר – "חברים, אנחנו צריכים לקחת 10 מיליארד דולר מתקציב הבטחון, החינוך, הבינוי והבריאות בכל שנה מעשרים השנים הקרובות על מנת למגן את רשתות החשמל שלנו לקראת אירוע שאולי לא יקרה במאה השנים הקרובות". זה לא יקרה לעולם. כל תופעה לשעצמה נדירה וחוזרת אחד להרבה דורות אבל יש הרבה כאלו ולכן סביר שאנחנו או בנינו או בני-בנינו יעמדו באתגר ההתמודדות עם אחת מהן, אתגר שהופך יותר מסובך ככל שהעולם יותר מאוכלס.
ולכן, לצערי, אנחנו נאכל אותה שוב ושוב ושוב ושוב, כל פעם במידת חומרה אחרת על דברים שידענו שיקרו. אין כ"כ מה לעשות ולכן אני אומר לכם – התעודדו! המצב יכול להיות הרבה יותר גרוע 😊
נפל הדבר, בננו ענבר, גמול הקטן, ללא חיתול, כלומר. חלפה כך תקופה של, שבע שנות פמפרס, שנות אודם פריחה, שנות טלק ומשחה. לא עוד חיתול בוקר צהוב ומצחין, תחתיו עור מוכה חררה ושחין, לא אב מסתתר עם ילדו, פן יראוּ פורס הערכה ומחליף בדירוג. לא עוד שירותי הבנים בלי שולחן! אַלְלַי! להיכנס לנשים לא מוכן! לא עוד מאבק על ספה ושטיח – עולל מתפתל, ישבנון שמסריח, ויד סומא תרה אחר המגבון, לשווא תחפש, לא תמצא אחד לח, אחרון יש, יבש, נשלף ונשכח. לא עוד אימה וחיל, בתיק חילוף חיפשתי, הוא שאל "האם?" והיא אמרה "שכחתי! ☹". על כך אין מחילה, ואין חיבה – רק זעם, בסוף קושרים חיתול, מבד כמו שפעם… איכס.
גמול הקטן, זה תגמול שמגיע, לגיל לא מגעיל – הבה נגילה! דיצה ורינה – חבילה אחרונה, נשארה יתומה, חצי מלאה, חיתולים, חיתולים, משרים עלי נחת – אקח קצת באוטו, שיהיה – כיסוי תחת, חיתולים יקרים, חלוצי חלציים! מייבשי הביצות ופסולת מעיים, כל חיתול מחכה מקופל ועדין, דרוּך וערוך לפקודה ויום דין, לספוג לתפוח, לגדול ולפרוץ – כמו גרעיני הפופקורן לקפוץ, כל העושר הזה שלא ינוצל? לא חבל? המוך הסינטטי, נוחות המגע, (אולי פשוט נתרום לו לגן?)
ועכשיו ברצינות, בקטע נוסטלגי, סופו של עידן, רטרוספקט זה נורמאלי, אתגעגע? איך לומר בקיצור – לא. ברור. וכעת לעתיד, איך נסביר… ילדים: אתם הכל בשירותים מורידים! (כך בעולם סביר, עולם הגון) אך… בעולמינו הנתון, ועם בנינו העיקשים, אנחנו מקישים, (למעשה יודעים) שאת רוב הטוֹב, בזמן הקרוב, יספגוּ… התחתונים.